Insertionsreaktion
Eine Insertionsreaktion ist ein Reaktionstyp der Organischen Chemie. Hierbei wird im eingesetzten Substrat formal eine Bindung gebrochen, ein Molekülfragment eingefügt und die gebrochene Bindung am anderen Ende des Fragments wieder gebildet. Insertionsreaktionen sind häufig in metallkatalysierten Reaktionen anzutreffen. Hierzu gehören die Insertion von Kohlenstoffmonoxid als Carbonylgruppe, die Insertion von Alkenen oder Alkinen und die CH-Insertion.
Polymerisation
Insertionsreaktionen treten bei der Polymerisationen auf. Das Ziegler-Natta-Verfahren zur Synthese von Polyethylen ist hierfür ein Beispiel. Mechanistisch folgt es dem Cossee-Arlman-Mechanismus. Die bestehende Bindung des Titankomplexes zum ersten Kohlenstoffatom der Polymerkette wird gebrochen und ein Molekül Ethylen wird insertiert. Die Bindung verläuft nun vom Katalysator über das insertierte Fragment zum vormaligen Kettenende, wodurch ein Kettenwachstum um eine C2-Einheit bewerkstelligt wurde.[1]
CO-Insertion
In der Literatur sind viele Insertionen von Kohlenstoffmonoxid in Rahmen metallkatalysierte Reaktionen unter Bildung von Carbonylverbindungen beschrieben. Hierzu wird die Reaktion meist unter hohen CO-Drücken geführt.
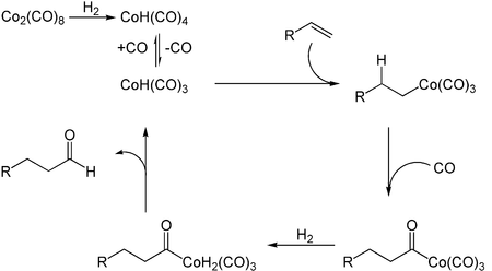
Hydroformylierung
Die Hydroformylierung, auch Oxosynthese genannt, dient der Herstellung von Aldehyden aus Alkenen. Der klassische Katalysator ist ein vierfach-koordinierter Cobaltkomplex, der aus Dicobaltoctacarbonyl gebildet wird. Nach Addition des Komplexes an das Alken kommt es zu einer Insertion von Kohlenstoffmonoxid in die Co-C-Bindung, wodurch die Carbonylgruppe des späteren Aldehyden aufgebaut wird.[2]
Diese Insertion ist jedoch nicht nur Cobaltkomplexen vorbehalten. Auch weitere Metallkomplexe zur Hydroformylierung wurden entwickelt. Zu den bekanntesten zählt die rhodiumkatalysierte Hydroformylierung.[2]
Palladiumkatalysierte Kupplungsreaktionen
Viele palladiumkatalysierte Kupplungsreaktionen können zur Insertion von Kohlenstoffmonoxid benutzt werden. Hierzu zählt beispielsweise die Heck-Reaktion.[3]
Sonstige Reaktionen
In Zyklus der Pauson-Khand-Reaktion zum Aufbau von Cyclopentenonen werden sowohl ein Alken als auch Kohlenstoffmonoxid in bestehende Cobalt-Kohlenstoffbindungen insertiert. Gleiches geschieht in der Dötz-Reaktion, in der zunächst ein Alkin und dann Kohlenstoffmonoxid insertiert wird.
CH-Insertion
Insertionen in Kohlenstoff-Wasserstoff-Bindungen sind nur selten anzutreffen aber präparativ interessant. Beispiele sind die Alkylierungen durch Rhodiumcarbenoidkomplexe durch CH-Insertion. Das hierzu gebildete Rhodiumcabenoid, das aus Diazoverbindungen zugänglich ist, spaltet hierbei die CH-Bindung. Durch diese Reaktion ist auch der Aufbau sonst schwer zugänglicher viergliedriger Ringsysteme, wie Cyclobutan-[4] und Propiolactonderivate[5] möglich.
Quellen
- ↑ B. Tieke, Makromolekulare Chemie, 2. Auflage, Wiley-VCH, 2005, ISBN 978-3527313792.
- ↑ Hochspringen nach: a b Hans Beyer und Wolfgang Walter: Lehrbuch der Organischen Chemie, 23. Auflage, S. Hirzel Verlag, Stuttgart 1998, ISBN 3-7776-0808-4, S. 409.
- ↑ F. Calderazzo: Synthetische und mechanistische Aspekte anorganischer Insertionsreaktionen. Insertion von
Kohlenmonoxid, in: Angew. Chem. 1977, 89, 305–317. doi:
10.1002/ange.19770890506
- ↑ D. E. Cane, P. J. Thomas: Synthesis of (dl)-pentalenolactones E and F, in:
J. Am. Chem. Soc. 1984, 106, 5295. doi:
10.1021/ja00330a044
- ↑ E. Lee, K. W. Jung, Y. S. Kim: Selectivity in the lactone formation via C---H insertion reaction of
diazomalonates, in: Tetrahedron Lett. 1990, 31, 1023–1026. doi:
10.1016/S0040-4039(00)94420-4


© biancahoegel.de
Datum der letzten Änderung: Jena, den: 18.07. 2025