Aramide
Aramide ist die Bezeichnung für aromatische Polyamide, auch: Poly(p-phenylenterephthalamide) (PPTA). Diese polymeren Kunststoffe besitzen strukturelle Ähnlichkeit mit Proteinen.
Übersicht
Als Aramide oder aromatische Polyamide (Polyaramide) werden nicht Polyamide mit aromatischen Gruppen in der Hauptkette per se bezeichnet, sondern nach einer Definition der US-amerikanischen Federal Trade Commission nur solche langkettigen synthetischen Polyamide, bei denen mindestens 85 % der Amidgruppen direkt an zwei aromatische Ringe gebunden sind.
Aramid wird hauptsächlich als Faser und seltener als Folie hergestellt. Aramidfasern sind goldgelbe organische Kunstfasern. Die Fasern wurden 1965 bei DuPont entwickelt und unter dem Markennamen Kevlar zur Marktreife gebracht.
Die Fasern zeichnen sich durch sehr hohe Festigkeit, hohe Schlagzähigkeit, hohe Bruchdehnung, gute Schwingungsdämpfung sowie Beständigkeit gegenüber Säuren und Laugen aus. Sie sind darüber hinaus sehr hitze- und feuerbeständig. Aramidfasern schmelzen bei hohen Temperaturen nicht, sondern beginnen ab etwa 400 °C zu verkohlen. Bekannte Markennamen für Aramidfasern sind Nomex und Kevlar von DuPont, oder Teijinconex, Twaron und Technora von Teijin.
Man unterscheidet zwischen meta-Aramiden (Teijinconex und Nomex), para-Aramiden (Twaron, Kevlar) und para-Aramid-Copolymeren (Technora). Para-Aramide heißen mit vollständigem Namen auch Poly(p-phenylenterephthalamide) und werden zum Teil mit der Abkürzung PPTA bezeichnet.
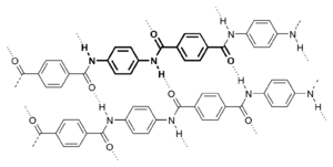
Para-Aramid-Herstellungsprozess
Die Verarbeitung zu Fasern kann nur aus Lösungen erfolgen, da der Schmelzpunkt meist weit über dem thermischen Zersetzungspunkt liegt. Eine hohe Polymerkonzentration in der Spinnlösung ist vorteilhaft für die Filamentherstellung und kann zu hohen Orientierungen führen. Ein gutes Lösungsmittel für Aramide in hoher Konzentration und damit anisotropem Charakter ist konzentrierte Schwefelsäure. Der Weg des Direktspinnens aus der Polymerlösung hat sich nicht als praktikabel erwiesen, ökonomischer sind Polymere vom Typ para-orientierter, aromatischer Dicarbonsäuren und Diamine. Die Faserherstellung über Polymerisation und der Gebrauch von Schwefelsäure als Lösungsmittel wird im Bild gezeigt.
Bei der Polymerisation dieser Aramide wird meist von einem aromatischen Dicarbonsäurehalogenid ausgegangen, so z.B. von Paraphenylendiamin (PPD) und Terephthaloyldichlorid (TDC). Das Polymer wird durch Reaktion beider Monomere in einem Lösungsmittel gebildet. Als Lösungsmittel kommt Hexamethylphosphorsäuretriamid in Frage, das jedoch wegen vermuteter karzinogener Wirkungen ungeeignet erscheint. Der Einsatz dieses Lösungsmittels kann jedoch vermieden werden, wenn die Polymerisation in einer Aufschlämmung von Calciumchlorid CaCl2 im Überschuss in dem Lösungsmittel N-Methylpyrrolidon durchgeführt wird. Der Spinnprozess ist der übliche klassische Nassspinnprozess. Die Verwendung eines Luftspalts zwischen Spinndüsen und Spinnbad, wie es u.a. vom Acryl-Spinnen her bekannt ist, hat Vorteile. Nach dem Trocknen hat das Garn eine hohe Festigkeit und einen hohen Elastizitätsmodul. In einer zweiten Prozessstufe kann das Garn bei Temperaturen von 300-400 °C verstreckt werden. Dies führt zu einem noch höheren Modul bei gleicher Festigkeit und geringerer Bruchdehnung. Dieser Aramid-Fasertyp wird in unterschiedlichsten Anwendungen eingesetzt.
Anwendungen
Die bekanntesten Anwendungen für para-Aramidfasern sind im Sicherheitsbereich zu finden (Splitterschutz- und schusssichere Westen, Schutzhelme, Panzerungen für Fahrzeuge, Schnittschutzhandschuhe, Hitzeschutzbekleidung). Aramidfasern werden als Asbestersatz in Brems- und Kupplungsbelägen und Dichtungen sowie als Verstärkungsmaterial zum Beispiel für Glasfaserkabel oder Gummimaterialien eingesetzt. Ein weites Anwendungsfeld für Aramidpapiere ist zudem die Elektro-Isolation. Die Produkte werden als Deckschieber, Nutisolation und Phasenisolation in Elektromotoren sowie als Lagenisolation in Transformatoren eingesetzt. Aramidgewebe kommen auch bei Überdachungen im Bauwesen zum Einsatz, unter anderem für Stadionüberdachungen. Sie bilden hier das Grundmaterial, das mit PVC oder PTFE beschichtet wird und so zu einer UV- und wetterfesten, teiltransparenten Membran wird.
Auch bei Sportgeräten werden wegen ihrer Zähigkeit und Zugfestigkeit und ihrer geringen Masse oft Aramidfasern verwendet, so zum Beispiel für Reepschnüre, Fangleinen bei Fall- und Gleitschirmen, für Segel von Segelbooten und Surfbrettern, für Hockeyschläger oder für Tennisschläger. Bestimmte Fahrradreifen werden mit Aramideinlagen vor dem Eindringen von Glasscherben und ähnlichem geschützt. Faltreifen enthalten statt eines Drahtes ein Kevlargarn. Kletterseile können aufgrund der notwendigen Dehnung nicht aus Aramid hergestellt werden.
Weiterhin werden sie in Faserverbundkunststoffen im Flugzeugbau, vor allem für den Bau von Segelflugzeugen verwendet. Bei nahezu allen modernen Strahltriebwerken kommen Aramidgewebe in der Triebwerksverkleidung vor, um im Fall eines Blade-off Events die Trümmer innerhalb des Triebwerks zu behalten. Meta-Aramidfasern werden speziell für den Brandschutz eingesetzt. Sie sind in feuersicherer Bekleidung (etwa Schutzanzüge bei Feuerwehren, Rennfahrerkombi u.ä.) bekannt geworden. Eine weitere Anwendung für Aramid ist die Verarbeitung im Faserverbund zu Sandwich-Wabenkernen, sogenannten Honeycombs aus Nomex-Papier oder Kevlar-Papier. Auch für die Membranen moderner Hochleistungslautsprecher werden häufig Aramidfasern eingesetzt.
Eigenschaften
| Typische Eigenschaften von Aramidfasern | ||
|---|---|---|
| Niedermodul (NM) | Hochmodul (HM) | |
| Dichte in g/cm3 bei 20 °C | 1,44 | 1,45 |
| Filamentdurchmesser in µm | ≈12 | ≈12 |
| Zugfestigkeit in MPa (N/mm2) | 2800 | 2900 |
| Zug-E-Modul in GPa | 59 | 127 |
| Bruchdehnung in % | 4 | 1,9 |
| Therm. Ausdehnungskoeffizient in 10-10/K | -2,3 | -4,1 |
| Wärmeleitfähigkeit in W · m-K · K-3 | 0,04 | 0,04 |
| Zersetzungstemperatur in °C | 550 | 550 |
| Alle Werte nach Suter Kunststoffe: Aramidfasern (Kevlar) | ||
Die Fasern haben, ähnlich wie Kohlenstofffasern, einen negativen Wärmeausdehnungskoeffizienten in Faserrichtung, werden also bei Erwärmung kürzer und dicker. Ihre spezifische Festigkeit und ihr Elastizitätsmodul sind deutlich niedriger als jene von Kohlenstofffasern. In Verbindung mit dem positiven Ausdehnungskoeffizienten des Matrixharzes lassen sich hoch maßhaltige Bauteile fertigen. Gegenüber kohlenstofffaserverstärkten Kunststoffen ist die Druckfestigkeit von Aramidfaser-Verbundwerkstoffen deutlich geringer; die Schlagzähigkeit aber wesentlich höher.
Aramide sind überaus hitzebeständig, sie überstehen problemlos Temperaturen über 370 °C, ohne zu schmelzen und sind stark hitzeresistent.
Man differenziert zwischen zwei Modifikationen, die sich insbesondere durch ihren unterschiedlichen Elastizitätsmodul unterscheiden:
- "Low Modulus"/"Niedermodul" (NM): Zugfestigkeit 2800 N/mm2 und E-Modul 59 kN/mm2
- "High Modulus"/"Hochmodul" (HM): Zugfestigkeit 2900 N/mm2 und E-Modul 127 kN/mm2
Beide Modifikationen haben eine Dichte von 1,44-1,45 g/cm3.
Die Hochmodulfasern werden in erster Linie für stoß- und schlagbeanspruchte Bauteile benutzt, Niedermodulfasern für die Vielzahl der Anwendungen und in beschusshemmenden Westen.
Aramidfolien werden oft aus Gewebe kalandriert, aber auch direkt als dünne Folien gefertigt. Sie werden als Isolierstoff (u.a. Transformatoren der Isolierstoffklasse C, Temperatur bis 220 °C), als Basismaterial für flexible Leiterplatten und als Fenstermaterial an Beschleunigern und Detektoren eingesetzt.
Nomex-Fasern werden etwa im Helikopter AgustaWestland AW101 im Verbundwerkstoff der Verkleidung nahe den Turbinenauslässen und als Textilstoff von Heißluftballons für die Schürze (Scoop) und den untersten Bereich der Hülle verwendet.
Verarbeitung
Beim Umgang und der Verarbeitung muss auf die leichte Feuchtigkeitsaufnahme und die geringe UV-Beständigkeit Rücksicht genommen werden. Die ursprünglich goldgelben Fasern nehmen bei UV-Einstrahlung (Sonnenlicht) einen bronzebraunen Farbton an und verlieren bis zu 75 % ihrer Festigkeit. Die Fasern können je nach Lagerung bis zu 7 % Wasser aufnehmen. Fasern mit einer zu hohen Feuchtigkeit können getrocknet werden. In der Luft- und Raumfahrt ist ein Wassergehalt von unter 3 % üblich.
Zum Schneiden von Aramidfasern sind spezielle mikroverzahnte Schneidwerkzeuge notwendig. Auch die mechanische Bearbeitung fertiger Faserverbundbauteile erfolgt mit hochwertigen Bearbeitungswerkzeugen oder durch Wasserstrahlschneiden.
Faserverbundteile werden in der Regel mit Epoxidharzen hergestellt. Chemische Haftvermittler sind nicht bekannt.


© biancahoegel.de
Datum der letzten Änderung: Jena, den: 12.02. 2020