Hilbert-Transformation
Die Hilbert-Transformation ist in der Funktionalanalysis, einem Teilgebiet der Mathematik, eine lineare Integraltransformation. Sie ist nach David Hilbert benannt, welcher sie Anfang des 20. Jahrhunderts bei Arbeiten am Riemann-Hilbert-Problem für holomorphe Funktionen formulierte.
Sie wird im Bereich der Fourier-Transformation und der Fourieranalyse angewendet. Weitere Anwendungsgebiete liegen im Bereich der Signalverarbeitung, bei der sie dazu dient, aus einem reellen Signal ein analytisches Signal bzw. ein monogenes Signal zu bilden.
Rot: Hilbert-Transformation des blauen Signals
Definition
Die Hilbert-Transformation ist für reelle Variablen
und
und für reell- oder komplexwertige Funktionen
und
definiert als:
Dieses Integral hat die Form eines Faltungsintegrals, so
dass sich die Hilbert-Transformation mit dem Faltungsoperator
auch in folgender Form schreiben lässt:
Diese Transformation ist umkehrbar. Die inverse Hilbert-Transformation ist gegeben durch:
Eigenschaften
Einige wesentliche Eigenschaften der Hilbert-Transformation bei reeller
Variable
und für reelle oder komplexe Funktionen
bzw.
sind:
- Linearität
- Filterung
Beziehung zur Fourier-Transformation
Insbesondere in der Nachrichtentechnik
und deren Signalverarbeitung spielt der Bezug zur Fourier-Transformation
eine wesentliche Rolle. Hierfür sind die Transformationspaare in beiden
Richtungen von Interesse. Im Weiteren wird die in den Ingenieurwissenschaften
übliche Notation
für die imaginäre
Einheit benutzt. In der Mathematik ist für die imaginäre Einheit die
Notation
üblich. Es gilt für
die charakteristische
Identität
.
| unsymmetrische Normierung | Transformation mit der Frequenz | |
|---|---|---|
|
|
|
Betrachtet sei nun die Faltungsoperation im Zeitbereich, die der Multiplikation im Frequenzbereich entspricht.
Das führt zur Übertragungsfunktion
.
Die Hilbert-Transformation kann in diesem Zusammenhang als eine
Phasenverschiebung um
(bzw. +90°) für negative
Frequenzen und um
(bzw. −90°) für positive Frequenzen aufgefasst werden. Nachrichtentechnische
Anwendungen liegen im Bereich von Modulationsverfahren,
insbesondere der Einseitenbandmodulation
als Bestandteil eines analytischen
Signals. Die technische Realisierung erfolgt näherungsweise in Form von
speziellen Allpassfiltern,
die auch als Hilbert-Transformatoren bezeichnet werden.
Diskrete Hilbert-Transformation
Ein bandbegrenztes Signal
limitiert auch die Hilbert-Transformierte von
auf die gleiche Bandbreite. Beträgt die Bandbegrenzung maximal die halbe Abtastfrequenz,
kann zufolge des Nyquist-Shannon-Abtasttheorems
ohne Informationsverlust eine zeitdiskrete Folge
,
mit
positiv und ganzzahlig, gebildet werden. Die diskrete Hilbert-Transformation ist
dann gegeben als:
mit der Impulsantwort
der zeitdiskreten Hilbert-Transformation:
Die zeitdiskrete Hilbert-Transformation ist nicht kausal – für
praktische Implementierungen im Rahmen der digitalen
Signalverarbeitung wo diese Form eine Rolle spielt, wird
näherungsweise mittels einer endlichen Länge implementiert. Zu beachten ist,
dass die zeitdiskrete Impulsantwort
nicht der abgetasteten, kontinuierlichen Impulsantwort
entspricht.
Kausalitätsbedingung im Frequenzbereich
Durch die Impulsantwort lässt sich ein System vollständig beschreiben. Soll die Bedingung Kausalität erfüllt werden, dann muss die Impulsantwort für die Zeit vor der Anregung den Wert Null aufweisen. Abstrakt lässt sich das über eine Multiplikation mit der Sprungfunktion ausdrücken.
Durch Fouriertransformation lässt sich aus der Impulsantwort die
entsprechende Übertragungsfunktion
im Frequenzbereich ermitteln. Das führt schließlich zu einem Faltungsintegral,
das der Hilbert-Transformation entspricht.
Daraus folgen die Kausalitätsbedingungen für eine beliebige Übertragungsfunktion:
und
Korrespondenzen
Einige wichtige Korrespondenzen der Hilbert-Transformation sind: (Hinweis: Die Voraussetzungen wie gültiger Wertebereich oder Definitionsbereich wurden der Übersicht wegen weggelassen.)
| Signal |
Hilbert-Transformierte |
|---|---|
Sinc-Funktion |
|
Rechteck-Funktion |
|
Dirac-Delta-Funktion |
|
Imaginäre Fehlerfunktion erfi |
Implementierung
Für praktische Implementierungen kann die diskrete Hilbert-Transformation
einer reellen Zahlenfolge der Länge
mittels der diskreten
Fourier-Transformation (DFT) näherungsweise realisiert werden: Zunächst wird
die Fourier-Transformierte der Eingabefolge berechnet, danach werden in dem
berechneten Spektrum alle Spektralanteile, die für negative Frequenzanteile
stehen, auf 0 gesetzt. Abschließend wird mittels der inversen
Fouriertransformation (IDFT) die Ausgabefolge berechnet.
- Berechnung der Fouriertransformierten
von der Eingangsfolge mit der Länge
. Aus Effizienzgründen wird dafür die Schnelle Fourier-Transformation (FFT) eingesetzt.
- Bildung eines Vektors
der Länge
, der nur die Werte 0, 1 und 2 nach folgender Regel aufweist:
- Wert 1 für den Index
- Wert 2 für den Index
- Wert 0 für den Index
- Wert 1 für den Index
- Bildung des elementweisen Produktes
von
mit
- Berechnung der inversen Fouriertransformierten IDFT von
, um die Ausgangsfolge zu bestimmen.
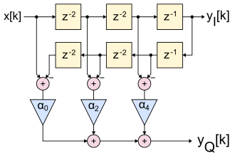
Alternativ kann die Hilbert-Transformation in Näherung auch mit
FIR-Filtern gerader Ordnung
in Form eines Allpasses
realisiert werden, wie in nebenstehender Abbildung für ein
Hilbert-Transformationsfilter 6. Ordnung dargestellt. Erkennbar dabei, dass bei
Hilbert-Transformationsfiltern immer die ungeraden Filterkoeffizienten von Wert
0 sind, und die verbleibenden geraden Filterkoeffizienten
lassen sich aufgrund von Symmetriegründen paarweise mit invertierten Vorzeichen
zusammenfassen. Das Ausgangssignal
(I-Komponente) wird im Filter nur zeitlich verzögert um mit dem gefilterten
Signal
(Q-Komponente) in Phase zu sein. Die so gebildete Kombination
wird als analytisches
Signal des reellwertigen Eingangssignals
bezeichnet.
Funktionalanalysis
Die Hilbert-Transformation hat als Operator zwischen Funktionenräumen einige
Bedeutung. Es ist eine nicht triviale Tatsache, dass die Hilbert-Transformation
einen beschränkten
Operator ,
für
definiert.
Die Hilbert-Transformation ist ein isometrischer
Isomorphismus (für
ein unitärer
Operator) und erfüllt die Gleichung
,
wobei
die identische
Abbildung ist.
Die Hilbert-Transformation ist für
für
nicht, allerdings für
schwach
beschränkt.
Beziehung zu den Kramers-Kronig-Relationen
Die Kramers-Kronig-Relationen der Physik erhält man mit der formalen Identität (siehe Distribution (Mathematik))
wobei der erste Teil bei der Integration über
den Cauchy-Hauptwert CH
von
und der zweite Teil das
-fache
der Dirac-Distribution
ergibt.
Die Hilbert-Transformation findet dann Anwendung, wenn eine reelle Funktion
von der reellen Achse
zu einer in der darüber liegenden komplexen
Halbebene holomorphen
Funktion fortgesetzt werden soll.


© biancahoegel.de
Datum der letzten Änderung: Jena, den: 11.01. 2021