Gerichteter Graph
Ein gerichteter Graph oder Digraph (von englisch directed graph) besteht aus
- einer Menge
von Knoten (engl. vertex/vertices, oft auch Ecken genannt) und
- einer Menge geordneter
Knotenpaare
von Kanten.
Die Kanten
eines gerichteten Graphen sind gerichtete Kanten
(engl. directed edge/edges, manchmal auch Bögen). Diese werden
häufig als Pfeile dargestellt und können nur in einer Richtung durchlaufen
werden. Im Gegensatz dazu sind die Kanten eines ungerichteten
Graphen ungeordnete
Knotenpaare
.
Gerichtete Graphen werden dazu benutzt Objekte und die dazwischenliegenden
Verbindungen, beispielsweise von endlichen
Automaten, darzustellen.
Grundbegriffe
Ein gerichteter Graph ohne Mehrfachkanten und Schleifen wird einfacher Digraph (auch schlichter Digraph) genannt.
Man sagt, dass eine gerichtete Kante
von
nach
geht. Dabei ist
der Fuß (oder Startknoten) und
der Kopf (oder Endknoten) von
.
Weiterhin gilt
als der direkte Nachfolger von
und
als der direkte Vorgänger von
.
Falls in einem Graphen von
nach
einPfad
führt, gilt
als ein Nachfolger von
und
als ein Vorgänger von
.
Die Kante
heißt umgedrehte oder invertierte Kante von
.
Ein gerichteter Graph G heißt symmetrisch, falls
G zu jeder Kante auch die entsprechende invertierte Kante enthält. Ein
ungerichteter Graph lässt sich einfach in einen symmetrischen gerichteten
Graphen umwandeln, indem man jede Kante
durch die zwei gerichteten Kanten
und
ersetzt.
Um die Orientierung eines einfachen ungerichteten Graphen zu erhalten, muss jeder Kante eine Richtung zugewiesen werden. Jeder auf diese Art konstruierte gerichtete Graph wird orientierter Graph genannt. Ein einfach gerichteter Graph darf, im Gegensatz zum orientierten Graphen, zwischen zwei Knoten Kanten in beide Richtungen enthalten.
Ein gewichteter Digraph ist ein Digraph, dessen Kanten Gewichte zugeordnet werden, wodurch man einen kantengewichteten Graphen erhält. Ein Digraph mit gewichteten Kanten wird in der Graphentheorie als Netzwerk bezeichnet.
Die Adjazenzmatrix
eines Digraphen (mit Schleifen und Mehrfachkanten) ist eine ganzzahlige Matrix,
deren Zeilen und Spalten den Knoten des Digraphen entsprechen. Ein Eintrag
außerhalb der Hauptdiagonalen
gibt die Anzahl der Kanten vom Knoten i zum Knoten j an,
und der Eintrag der Hauptdiagonalen
entspricht der Anzahl der Schleifen im Knoten i. Die Adjazenzmatrix
eines Digraphen ist bis auf Vertauschung von Zeilen und Spalten eindeutig.
Ein Digraph lässt sich auch durch eine Inzidenzmatrix repräsentieren.
Eingangs- und Ausgangsgrad
Die Anzahl der direkten Vorgänger eines Knotens wird Eingangsgrad (auch Innengrad) und die Anzahl der direkten Nachfolger Ausgangsgrad (oder Außengrad) genannt.
Der Eingangsgrad eines Knotens
in einem Graphen
wird mit
und der Außengrad mit
bezeichnet. Ein Knoten mit
wird Quelle und ein Knoten mit
wird Senke genannt. Eine Senke heißt universelle Senke, falls sie
eingehende Kanten von jedem anderen Knoten hat, falls also ihr Eingangsgrad
gleich
ist.
Für gerichtete Graphen ist die Summe aller Eingangsgrade gleich der Summe aller Ausgangsgrade, und beide gleich der Summe der gerichteten Kanten:
Falls für alle Knoten
die Gleichung
gilt, wird der Graph balancierter Digraph genannt.
Zusammenhang von Digraphen
Ein gerichteter Graph
heißt schwach zusammenhängend (oder nur zusammenhängend),
falls der unterliegende Graph von
,
den man mittels Ersetzung aller gerichteter Kanten durch ungerichtete erhält,
ein zusammenhängender Graph ist. Ein gerichteter Graph heißt stark
zusammenhängend oder stark, wenn je zwei seiner Knoten gegenseitig
erreichbar sind. Ein maximaler stark zusammenhängender Untergraph von
ist eine starke Komponente.
Darstellung von gerichteten Graphen
Außer der naiven Darstellung eines gerichteten Graphen durch Angabe der Knoten- und Kantenmenge gibt es noch weitere Darstellungsmöglichkeiten, das sogenannte Kanten bzw Knotenfeld.
Kantenfeld
Ein Kantenfeld ist eine Darstellungsart für gerichtete Graphen nach folgendem Schema:
,
wobei
die Anzahl der Knoten,
die Anzahl der Kanten und
die Kanten mit
sind.
Knotenfeld
Ein Knotenfeld ist eine Darstellungsart für gerichtete Graphen mit folgendem Aufbau:
,
wobei
die Anzahl der Knoten,
die Anzahl der Kanten und
der Ausgangsgrad des Knotens
sind.
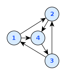
Beispiel
Betrachtet man als Beispiel den rechts stehenden gerichteten Graph, so ist
das Kantenfeld
und das Knotenfeld
.
Die fett gedruckten Zahlen geben den Ausgangsgrad an.
Klassen von Digraphen
Ein gerichteter azyklischer Graph oder azyklischer Digraph ist ein gerichteter Graph, der keinen gerichteten Kreis enthält. Spezialfälle gerichteter azyklischer Graphen sind Mehrfachbäume (je zwei gerichtete Pfade des Graphen, die vom selben Startknoten ausgehen, dürfen sich nicht im selben Endknoten treffen), orientierte Bäume oder Polybäume (Orientierung eines ungerichteten azyklischen Graphen) und Wurzelbäume (orientierte Bäume, bei denen alle Kanten des unterliegenden ungerichteten Baumes vom Wurzelknoten wegführen).
Ein Turniergraph ist eine
Orientierung des vollständigen
Graphen .
Einfach gerichteter azyklischer Graph |
Turniergraph mit 4
Knoten |


© biancahoegel.de
Datum der letzten Änderung: Jena, den: 20.04. 2020