Filtrierter Kolimes
Im mathematischen Teilgebiet der Kategorientheorie ist ein filtrierter Kolimes (auch direkter Limes oder induktiver Limes) ein spezieller Kolimes. Er kann in gewissen Fällen als Verallgemeinerung der Vereinigung betrachtet werden.
Elementare Definition (für teilgeordnete Indexmengen)
Die Indexmenge sei eine feste
gerichtete Menge.
Ein induktives System
besteht aus Objekten (beispielsweise Mengen,
Gruppen oder topologischen Räumen)
für die Indizes
sowie Übergangsabbildungen
für
,
die mit der jeweiligen Struktur verträglich sind (d. h. Mengenabbildungen, Gruppenhomomorphismen, stetige Abbildungen topologischer Räume) und folgende Bedingungen erfüllen
für alle
die identische Abbildung auf
und
für alle
.
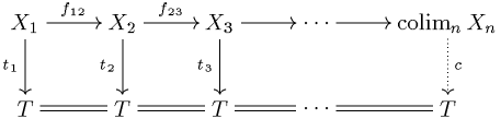
Der induktive Limes eines induktiven Systems
ist ein Objekt
zusammen mit Abbildungen
,
die mit den kompatibel sind, d. h.
für
mit der folgenden universellen Eigenschaft:
- Kompatible Systeme von Abbildungen der
in ein beliebiges Testobjekt
entsprechen Abbildungen von
nach
.

Das bedeutet: Wann immer Abbildungen
gegeben sind, für die
für
gilt, gibt es eine eindeutige Abbildung
,
von der die Abbildungen „herkommen“, d. h.
.
Der induktive Limes eines induktiven Systems (Xi, fi,j) von Mengen kann explizit konstruiert werden als eine Menge von Äquivalenzklassen
in der disjunkten Vereinigung .
Hierbei sollen Elemente
und
äquivalent sein, wenn ein
existiert, für das
gilt.


© biancahoegel.de
Datum der letzten Änderung: Jena, den: 01.09. 2025