Pushout
Das Pushout (auch Kofaserprodukt, kokartesisches Quadrat, Fasersumme, amalgamierte Summe) ist ein Begriff aus dem mathematischen Teilgebiet der Kategorientheorie. Es handelt sich um die zum Pullback duale Konstruktion.
Pushout von Moduln

Es seien
und
zwei Homomorphismen
zwischen Moduln
über einem Ring
.
Setzt man
,
so ist das Pushout von
und
definiert als
mit den Homomorphismen
und
Man kann zeigen, dass
und dass
die folgende universelle
Eigenschaft hat:
Ist
irgendein
-Modul
mit Homomorphismen
und
,
so dass
,
so gibt es genau einen Homomorphismus
mit
und
.
Pushout in Kategorien
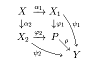
Durch obiges Beispiel motiviert, definiert man das Pushout in beliebigen Kategorien wie folgt.
Es seien
und
zwei Morphismen
einer Kategorie. Ein Paar
von Morphismen
dieser Kategorie heißt Pushout von
,
falls gilt:
- Ist
ein Paar von Morphismen
mit
, so gibt es genau einen Morphismus
mit
und
.
Manchmal nennt man nur das Objekt
ein Pushout und meint damit, dass es Morphismen
gibt, die obiger Definition genügen. Auch das Diagramm
wird bisweilen als Pushout bezeichnet. Es gibt die zum Pullback analoge
Schreibweise .
Beispiele
- Jedes Pullback in einer Kategorie
ist ein Pushout in der dualen Kategorie
, denn offenbar ist das Pushout genau das zum Pullback duale Konzept.
- In einer abelschen Kategorie ist das Pushout zu
- gleich dem Kokern
von
.
- Ist mit obigen Bezeichnungen
das Nullobjekt einer additiven Kategorie, so ist das Pushout gleich der direkten Summe
.
- Das einleitende Beispiel zeigt, dass es in der Kategorie der
-Moduln stets Pushouts gibt.
- In der Kategorie der Gruppen existiert stets ein Pushout. Mit obigen
Bezeichnungen ist dieses gleich dem freien
Produkt
modulo dem von
erzeugten Normalteiler
mit den natürlichen Abbildungen
Diese Konstruktion tritt beim Satz von Seifert-van Kampen auf.
- In der Kategorie der kommutativen Ringe mit Einselement ist das Pushout
mit obigen Bezeichnungen gleich dem Tensorprodukt
versehen mit der Eins
und der durch
bestimmten Multiplikation.
- In der Kategorie der Mengen ist das Pushout
, wobei
die von
erzeugte Äquivalenzrelation auf der disjunkten Vereinigung
ist.
- Ähnlich lassen sich Pushouts von topologischen Räumen beschreiben. Diese spielen bei Verklebekonstruktionen eine Rolle.


© biancahoegel.de
Datum der letzten Änderung: Jena, den: 12.10. 2021