Linsenformel
Bezeichnung für mathematische Ausdrücke, die den Zusammenhang zwischen den Radien, der Dicke und dem Brechungsindex einer Linse einerseits
und der Brennweite
sowie der Lage der Kardinalpunkte (Kardinalelemente) andererseits darstellen.
Die Linsenformeln lassen
sich aus der Invariante der
Brechung (Abbildungsfehler) entwickeln
und gelten demzufolge nur für das achsennahe Gebiet, d.h. für die ideal fehlerfreie Linse. Die wichtigsten Linsenformeln für die beiderseits in
Luft befindliche
Linse sind
nachstehend angegeben.
In den Formeln bedeutet n den Brechungsindex der Linse, r1 und r2 die
Radien, d die Mittendicke.
Die
Vorzeichen der Strecken sind
entsprechend der Vorzeichenregel (Optikrechnen) einzusetzen. Für den allgemeinen
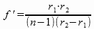
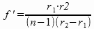
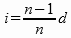
Fall der dicken Linse errechnet sich die Brennweite nach der Formel :
;
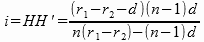
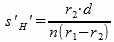
der Abstand des bild- bzw. dingseitigen Hauptpunkts vom jeweiligen Linsenscheitel nach der Formel
,
;
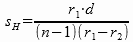
der Abstand der beiden Hauptpunkte nach der Formel
Für die dünne Linse, bei der die Dicke
gegenüber den Radien relativ klein wird, d. h.
n (r2 — r1) + (n—l)d ≈ n(r2 — r1) und weiter
r1 — r2 — d ≈ r1 — r2 wird,
vereinfachen sich die
Formeln zu
,
,
,
.
Vernachlässigt man
die Dicke vollends (Unendlich dünne Linse), so wird
, mit s'H' = sH = 0 , i = 0.
Von A. Gullstrand wurde eine vorwiegend in
der Augenoptik benutzte Schreibweise der Linsenformel angegeben, die als Gullstrandsche Formel bezeichnet wird. Bei ihr sind die Flächenradien durch
die Brechkräfte D in dpt (Kehrwert der Brennweite in Meter) ersetzt. Diese , Formel lautet
Hierin ist D die
Brechkraft der Linse, D1 und D2 die Brechkraft
der einzelnen Linsenflächen, d die Mittendicke
in Meter und n der Brechungsindex der Linse.
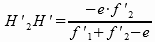
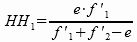
Für die Kombination von zwei gleichachsigen
Linsen in Luft lassen sich aus der Linsenformel folgende
Beziehungen ableiten,
Gesamtbrennweite,
und
Brennweite der einzelnen Linsen, e Abstand des Bildhauptpunkts
der ersten Linse vom Dinghauptpunkt der zweiten Linse:
die Gesamtbrennweite
, der Abstand des Dinghauptpunkts H des Systems vom Dinghauptpunkt H1 der
ersten Linse
der Abstand des Bildhauptpunkts H' des Systems
vom Bildhauptpunkt H'2 der zweiten Linse
Analog hierzu, lautet die
Gullstrandsche Formel für zwei Linsen
worin D1 und D2 die Brechkräfte der Einzellinsen,
sind.

© biancahoegel.de;
Datum der letzten Änderung: Jena, den: 26.07. 2016