Landau-Lifschitz-Gilbert-Gleichung
Die Landau-Lifschitz-Gilbert-Gleichung (mit englischer Transkription im Deutschen gelegentlich auch Landau-Lifshitz-Gilbert-Gleichung genannt) beschreibt in der Festkörperphysik das Zeit-Verhalten der magnetischen Momente (bzw. der Magnetisierungsdichte) eines ferromagnetischen Materials in Abhängigkeit des sogenannten effektiven magnetischen Feldes. Das effektive magnetische Feld setzt sich unter anderen aus externen Magnetfeldern und internen Wechselwirkungen wie magnetischer Anisotropie, Austauschwechselwirkung und dipolarer magnetischer Wechselwirkung zusammen. Thermische Eigenschaften können durch einen stochastischen Anteil beschrieben werden. In diesem Fall wird die Landau-Lifshitz-Gilbert-Gleichung als Langevin-Gleichung interpretiert. Die Wechselwirkung mit freien elektrischen Strömen oder elektromagnetischen Wellen wird durch Kopplung mit den Maxwell-Gleichungen beschrieben. Die Anwendungen sind sehr weitreichend, Beispiele sind die Berechnung von Hysteresekurven, die Simulation mikromagnetischer Strukturen z.B. zur Erforschung magnetischer Speichermedien, in der Materialforschung z.B. in Verbindung mit Neutronen-Streuung und Hyperthermie in Verbindung mit magnetischen Nanopartikeln. Benannt ist sie nach Lew Dawidowitsch Landau, Jewgeni Michailowitsch Lifschitz und Thomas L. Gilbert. Unter Berücksichtigung der Wechselwirkungen in realen Materialien sind keine expliziten Lösungen der Landau-Lisfhitz-Gilbert-Gleichung bekannt. Open-Source Software zur Simulation der Landau-Lifshitz-Gleichung sind z.B. numax3 und VAMPIRE.
Landau-Lifschitz-Gleichung
Die ursprüngliche Landau-Lifschitz-Gleichung wurde im Jahr 1935 aufgestellt. Sie lautet
.
und beschreibt sowohl die Präzession der magnetischen Momente als auch die auftretende Dissipation. Dabei bezeichnet:
die Magnetisierung,
das effektive Magnetfeld,
einen phänomenologischen (kleinen) Dämpfungsparameter und
das gyromagnetische Verhältnis des Elektrons mit dem Landé-Faktor
, der Elementarladung
und der Elektronenmasse
.
Der erste Term beschreibt die Präzession, der zweite die Dissipation. Dabei
bleibt der Betrag von
erhalten, denn es ist
.
Diesen konstanten Betrag nennt man die Sättigungsmagnetisierung .
In der stationären Lösung des Systems, zu der das System strebt, wenn es sich selbst überlassen wird, stehen Magnetisierung und effektives magnetisches Feld parallel zueinander.
Landau-Lifschitz-Gilbert-Gleichung
1955 führte Gilbert eine Herleitung der Landau-Lifschitz-Gleichung auf der Basis des Lagrange-Formalismus durch. Er konnte zeigen, dass eine rigorose quantenstatistische Rechnung dasselbe Ergebnis liefert wie die Hinzufügung einer klassischen Rayleighschen Dissipationsfunktion zur Lagrangefunktion. Mit dieser gelangt man zu der Landau-Lifschitz-Gilbert-Gleichung
.
Wird diese Gleichung iteriert in sich eingesetzt, ergibt sich eine Form, die der der Landau-Lifschitz-Gleichung entspricht,
.
Der einzige Unterschied ist, dass das gyromagnetische Verhältnis durch ein effektives gyromagnetisches Verhältnis ersetzt wird, das vom Dämpfungsparameter abhängig ist. Wie in der Mechanik beim gedämpften Oszillator wirkt sich die Dämpfung somit auf die Präzessionsfrequenz aus. Für den Fall kleiner Dämpfung geht die Landau-Lifschitz-Gilbert-Gleichung in die Landau-Lifschitz-Gleichung über.
Das „effektive Feld“
Landau und Lifschitz haben 1935 noch angegeben, wie der Vektor
von allen vier beteiligten Wechselwirkungen (der „magnetischen
Austauschenergie“, der „Dipol-Dipol-Energie“, der „Anisotropieenergie“ und der
„Zeeman-Energie“) abhängt. Das effektive Feld
wird
in der Regel zunächst durch ein Energie-Funktional
(bzw. Hamiltonian) repräsentiert und ergibt sich folglich aus der ersten
Variation nach der Magnetisierungsdichte
.
Dabei stellen
die Energie der Austauschwechselwirkung,
die Energie der Dzyaloshinkii-Moriya Wechselwirkung,
die Energie der magnetokristallinen Wechselwirkung,
die Energie der magnetoelastischen Wechselwirkung,
die Energie der Wechselwirkung mit externen Felder (Zeeman-Wechselwirkung) und
die Energie der Dipol-Dipol-Wechselwirkung dar.
In der nachfolgenden Tabelle sind die Energien für den mesoskopischen Fall angeben. Auf kleineren Längenskalen sind andere Ausdrücke zu verwenden, welche die Energien auf atomarer Ebene (diskret, nicht-kontinuierlich) beschreiben. Die Energien der magnetokristallinen und magnetoelastischen Anisotropie hängen von der Gitterstruktur des Material's ab. Daher sind hier keine expliziten Ausdrücke der Energiedichten angegeben.
| Hamiltonian (Energie) | |
|---|---|
| Magnetische Austauschwechselwirkung | |
| Magnetische
Dipol-Dipol-Wechselwirkung
(Demagnetisierungs Feld) |
|
| Magnetokristalline Anisotropie | |
| Magnetoelastische Anisotropie | |
| Zeeman-Wechselwirkung | |
| Dzyaloshinskii-Moriya-Wechselwirkung |
Spinwellen u.ä.
Mit den Landau-Lifschitz-Gilbert-Gleichungen können u.a. auch dynamische Zustände (z.B. Spinwellen, wie im nebenstehenden Bild) realistisch behandelt werden, wobei alle relevanten Geometrien (beispielsweise auch Dünnschicht-Geometrien) und Wechselwirkungen (u.a. auch die sehr langreichweitige magnetische Dipol-Dipol-Wechselwirkung) voll berücksichtigt werden können, wenn man bei den Computersimulationen hohen Speicherbedarf und entsprechende Rechenzeiten in Kauf nimmt.>
Die Dispersionsrelationen in diesen Systemen – das sind die Beziehungen zwischen Frequenz und Wellenlänge der Anregungszustände – sind wegen der hohen Zahl der charakteristischen Längen des Systems und der beteiligten Winkel sehr komplex.
Exakte Lösungen zu einfachen Spezialfällen
Lösung der Larmor-Gleichung bei zeitkonstantem, uniaxialem effektiven Feld (reine Präzession, ohne Dämpfung)
Im ungedämpften Fall führt die Magnetisierung eine reine Präzessionsbewegung
aus. Die Landau-Lifshitz-Gleichung reduziert sich dabei unter Annahme eines
homogenen effektiven Feldes
auf eine lineare Vektordifferentialgleichung. Diese Gleichung auch als
Larmor-Gleichung und die Frequenz der Präzession als Larmor-Frequenz
bezeichnet.
Die Lösung dieser Differentialgleichung stellt sich am einfachsten durch eine
orthogonale und parallele Zerlegung von
bezüglich
dar. Ohne Einschränkung der Allgemeinheit lässt sich z.B.
ansetzen woraus sich die folgende Lösung ergibt:
Alle weiteren Lösungen zu beliebig anderen Richtungen von
finden sich mit Hilfe der Anwendung von Rotationsmatrizen.
Lösung der Landau-Lifshitz-Gleichung bei zeitkonstantem, uniaxialem effektiven Feld
In diesem Abschnitt ist die exakte Lösung der Landau-Lifshitz-Gleichung im
Falle eines homogenen effektiven Feldes
präsentiert. Die besagte Problemstellung ist nachfolgend dargestellt, wobei die
Konstante
als Platzhalter dient. Durch Anpassung der Kofaktoren
ergibt sich ebenfalls die Lösung der Landau-Lifshitz-Gilbert-Gleichung im Falle
eines zeitkonstanten, homogenen effektiven Feldes.
Hier gilt es den gleichen Ansatz wie ohne Dämpfung zu verwenden. Mit
folgt die Lösung:
-
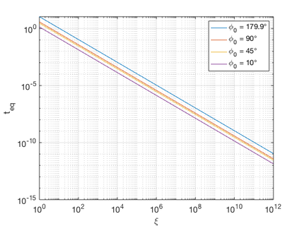
In dieser Abbildung ist das Zeitverhalten der Dämpfung der Landau-Lifshitz-Gleichung im Falle eines zeitkonstanten, homogenen effektiven Feldes dargestellt. Die Achsen des Graphen sind logarithmisch skaliert. Die Zeitkonstante t_eq gibt an zu welchem Zeitpunkt der Gleichgewichtszustand zu 99,9 % erreicht ist.
Zur Abschätzung des Zeitverhaltens der Dämpfung bietet es sich an, den
Parameter
in Abhängigkeit vom Winkel
zwischen dem Anfangswert der Magnetisierung
und des effektiven Feldes
zu beschreiben. Hierzu ist die geometrische Eigenschaft des Skalarproduktes
hilfreich:
Im stationären Gleichgewicht für
läuft die
-Funktion
gegen den Wert
.
Deshalb lässt sich folgende Gleichung zu Abschätzung ansetzen:
Lösung der Landau-Lifshitz-Gleichung bei zeitvariablem, uniaxialem effektiven Feld
Bei genauer Betrachtung der Lösung aus dem vorigen Abschnitt zeigt sich, dass
sich diese erweitern lässt, indem eine Zeitvariabilität der Amplitude
des effektiven Feldes
zugelassen wird. Die Richtung
des effektiven Feldes wird weiterhin als zeit-konstant angenommen. Damit stellt
sich die Problemstellung folgendermaßen dar.
Im "Standardfall"
findet sich die Lösung mit folgender Parametrisierung:
so reduziert sich die Landau-Lifshitz-Gleichung durch transformation auf zwei lineare Differentialgleichungen der Form
als Integral von
an, so stellt sich die Lösung dar durch
Literatur
- Soshin Chikazumi: Physics of Ferromagnetism, Oxford, Clarendon Press 1997, Kapitel 20.4 (Spin Dynamics), S. 562
- E. M. Lifschitz, L. P. Pitajewski: Landau, Lifschitz, Lehrbuch der Theoretischen Physik, Band IX: Statistische Physik, Teil 2, Kapitel VII (Der Magnetismus), Paragraph 69 (Die Bewegungsgleichung des Magnetischen Moments in einem Ferromagneten), Akademie Verlag, Berlin 1989, S. 287ff (Gleichung (69,9) ist die Landau-Lifschitz-Gleichung).[1]
- Andreas Prohl: Computational Micromagnetism, Teubner 2001, S. 121ff
Anmerkungen
- ↑ Im Band des Landau-Lifschitz zur Elektrodynamik der Kontinua (Band VIII, 5. Auflage, Akademie Verlag 1990), wird die Landau-Lifschitz-Gleichung nur in einer Übungsaufgabe in Kapitel IX (Elektromagnetische Wellengleichungen), Paragraph 79 (Dispersion der magnetischen Permeabilität), S. 339, behandelt.


© biancahoegel.de
Datum der letzten Änderung: Jena, den: 30.03. 2023