Regelungstechnik
Regelungstechnik ist eine Ingenieurwissenschaft, welche die in der Technik vorkommenden Regelungsvorgänge behandelt. Sie ist wie die Steuerungstechnik ein Teilgebiet der Automatisierungstechnik.
Ein technischer Regelvorgang ist eine gezielte Beeinflussung von physikalischen, chemischen oder anderen Größen in technischen Systemen. Die sogenannten Regelgrößen sind dabei auch beim Einwirken von Störungen entweder möglichst konstant zu halten (Festwertregelung) oder so zu beeinflussen, dass sie einer vorgegebenen zeitlichen Änderung folgen (Folgeregelung).
Regelung bedeutet Messen der zu beeinflussenden Größe (Regelgröße) in der Regelstrecke und kontinuierliches Vergleichen mit dem gewünschten Wert (Sollwert oder Führungsgröße). Der Regler bestimmt entsprechend der Abweichung (Regeldifferenz) eine Stellgröße, die so auf die Regelgröße einwirkt, dass sie die Abweichung minimiert und die Regelgröße ein gewünschtes Zeitverhalten annimmt trotz vorhandener Störgrößen.
Der vorliegende Artikel ist eine Zusammenfassung der wichtigsten Grundlagen, der Systemdefinitionen, Entwurfsstrategien, Stabilitätsprüfungen, Systemanalysen und der Berechnungsmethoden der Regelungstechnik. Weiterhin wird die historische Entwicklung des Fachgebietes behandelt, und es werden Vergleiche zwischen Regelungstechnik und Steuerungstechnik angestellt.
Geschichte der Regelungstechnik
Naturphänomen Regelung
Das einer Regelung zugrunde liegende Rückkopplungsprinzip ist keine Erfindung des Menschen, sondern ein Naturphänomen.
- Beispiel: Regelungsvorgänge in der lebenden Natur
- Beim Menschen und bei Tieren: geregelte Körpertemperatur, geregelter Blutdruck und geregelter Blutzucker; Pupillenöffnung regelt Lichteinfall; aufrechter Gang bei Zweibeinern mit Gleichgewichtsregelung.
- Das Hase-Fuchs-Population-Modell als Beispiel für das biologische Gleichgewicht regelt eine Führungsgröße als Funktion der unterschiedlichen Nahrungsangebote auf eine annähernd feste Hase-Fuchs-Verhältniszahl.
- Störgrößen: Klima, Vegetation, veränderte Geländeeigenschaften, Krankheiten, Mensch.
- Beispiel: Erdklima
- Erdgeschichtlich gesehen, ist die globale Luft-Durchschnittstemperatur in
Erdbodennähe (Meereshöhe)
seit vielen Millionen Jahren relativ konstant. Das Regelungsprinzip für den
schmalen Temperaturbereich als Klima-Voraussetzung des höher entwickelten
biologischen Lebens kommt in der Natur zur Anwendung, wenn z.B. durch
eine steigende Lufttemperatur die globale Wasser-Oberflächentemperatur der
Weltmeere steigt und durch Wasserdampf mit Wolkenbildung die
Sonneneinstrahlung reduziert. Dabei greifen zahlreiche langfristige und
kurzfristige Störgrößen zur Klimaveränderung ein:
- langfristige Störgrößen:
- Abstand Erde-Mond vergrößert sich (Gezeitenänderung), Meeresströme ändern ihre Richtung, Erdkontinentalplatten wandern (Kontinentaldrift), Erdmagnet-Pole wandern.
- Erdgeschichtlich kurzfristige Störgrößen:
- Starker Vulkanismus führt zur Abkühlung, große Meteoriteneinschläge führen zu Abkühlung oder im Extremfall zur Erdoberflächenverbrennung, Perioden geringer Sonnenaktivitäten (Sonnenflecken) bewirken eine leichte Abkühlungen (Kleine Eiszeit umstritten!).
- Biologisch: Algenwachstum und Eisendüngung (als Kohlenstoffbindung zur Kohlendioxid-Reduzierung: umstritten!), Abholzung der Wälder, Verbrennen fossiler Brennstoffe und erhöhter Methanausstoß (siehe Alkane) führen zum Treibhauseffekt.
- Beispiel: Biologische Systeme und Geologie
- Die Gaia-Hypothese wurde von der Mikrobiologin Lynn Margulis und dem Chemiker, Biophysiker und Mediziner James Lovelock Mitte der 1960er-Jahre entwickelt. Sie besagt, dass die Erde und ihre gesamte Biosphäre wie ein Lebewesen betrachtet werden kann.
Begriff Kybernetik:
Die grundlegenden Analogien zwischen Regelungsvorgängen in der belebten Natur und in technischen Systemen wurden seit den 1940er Jahren näher beschrieben. In Deutschland erfolgte dies durch die „Allgemeine Regelungskunde“ von Hermann Schmidt, der 1944 auf den ersten Lehrstuhl für Regelungstechnik an der TH Berlin-Charlottenburg berufen wurde. In den USA war es Norbert Wiener, der sich während des Zweiten Weltkrieges mit Regelungen für militärische Anwendungen befasste. Beide untersuchten den Rückkoppelungsmechanismus in technischen und biologischen Systemen. Norbert Wiener wurde 1947 zum Schöpfer des allgemein bekannten Begriffs Kybernetik als allgemeine Steuerungslehre, den Hermann Schmidt später ebenfalls benutzte.
Historische Beispiele technischer Regelungen
rechts: Stellglied (Drosselklappe in der Dampfzuleitung)
links: Messglied und Regler als Einheit (Fliehkraftpendel auf einer Drehzahl-Messwelle)
Mitte: Gegenkopplung (waagerechter Hebel und senkrechte Stange), kleinere Drehzahl vergrößert die Drosselöffnung
Sollwert-Veränderung durch Längenänderung der senkrechten Stange zur Drosselklappe
Das Prinzip der Regelung wurde schon von Mechanikern in der Antike angewendet. Nachgewiesen sind Einrichtungen zur Regelung von Flüssigkeits-Niveaus, die Ktesibios aus Alexandria und sein Schüler Philon von Byzanz erfanden. Ktesibios regelte den Wasserstand in einem Behälter, aus dem eine Einlaufwasseruhr mit Wasser versorgt wurde. Der Wasserzufluss von konstanter Höhe herab ist gleichmäßig und erhöht die Genauigkeit der Uhr. Von Phylon ist eine Öllampe bekannt geworden, in der das Öl automatisch auf gleichem Niveau gehalten wurde. Das konstante Ölniveau verbesserte den gleichmäßigen Brand der Flamme, ein Luxus, auf den man verzichten könnte und bei heutigen Öllampen auch verzichtet. Der Aufwand war aber klein, obwohl es sich um eine vollwertige Regelung handelte.
Danach wurde das Prinzip der Regelung erst wieder in der Neuzeit aufgegriffen. Im 17. Jahrhundert entstand die erste Temperaturregelung, die der Niederländer Cornelis Jacobszoon Drebbel in einem Brutkasten für Hühnereier entwarf. 1681 erfand der Franzose Denis Papin eine einfache Druckregelung für einen Dampfkochtopf durch Einbau eines Überdruckventils.
Der erste in Serie hergestellte Regler war der Fliehkraftregler, dessen Erfindung James Watt fälschlicherweise zugeschrieben wird (siehe Abbildung). Der Fliehkraftregler wurde vorher schon an Windmühlen verwendet. Watt hat die 1769 von Thomas Newcomen erfundene Dampfmaschine im Jahr 1786 mit einem solchen Regler ausgerüstet.
Für die aufkommende Dampfmaschinentechnik kam auch die aus der Antike bekannte Wasserstandsregelung mit Schwimmer durch den Russen Ivan Polzunov zur Anwendung. Der Schwimmer beeinflusste über ein Gestänge das Wasser-Einlassventil des Dampfkessels.
Die Technik der selbsttätigen Regelung blieb lange Zeit auf die Anwendung in Kraftmaschinen beschränkt. Eine erste Ausweitung erstreckte sich auf die Regelung von Größen in verfahrenstechnischen Prozessen, vor allem von Temperaturen, Drücken und Massenströmen. Nach dem Zweiten Weltkrieg entstanden die vereinheitlichten, vielfach einstellbaren elektrischen, hydraulischen und pneumatischen PID-Regler. Die pneumatischen PID-Regler wurden in der Verfahrenstechnik bevorzugt, da von ihrer Hilfsenergiequelle Luftdruck keine Explosions- und Brandgefahr ausgeht.
In der jüngsten Vergangenheit hat sich die Anwendung der Regelungstechnik auf alle Gebiete der Technik ausgedehnt. Anstöße gaben die Ausweitung der Automatisierung, zum Beispiel mit Hilfe von Robotern, und die neue Weltraumtechnik. Die Regelungstechnik ist inzwischen eine Symbiose mit der Informationstechnik (sowohl Hard- als auch Software) eingegangen.
Chronologie der Entwicklung der Regelungstechnik
| Jahr | Forscher Mathematiker |
Historische Ereignisse |
|---|---|---|
| 300 v. C. |
Ktesibios aus
Alexandria Philon von Byzanz |
Wasserkanäle, Kombinierte Saug- und Druckpumpe, Wasserorgel, Wasserstandsregler |
| 200 v. C. |
Vermutlich Archimedes | Mechanismus von Antikythera: Rekonstruktionsergebnis (2012): Mit Drehknopf oder Kurbel einstellbarer auf Zahnradmechanismus basierender kalendarisch-astronomischer Simulator mit 7 Zeigern zur Darstellung der Bewegung der Himmelskörper (Sonne bis Saturn). |
| 1. Jahr- hundert |
Heron von Alexandria | Heronsbrunnen Füllstandsregelung |
| ca. 1770 | Leonhard Euler | Differential- und Integralrechnung u. a. mit Differenzengleichungen, Wegbereiter der numerischen Berechnung, Eulersches Polygonzugverfahren, Euler-Gleichungen. |
| ca. 1780 | Pierre-Simon Laplace | Systembeschreibungen mit Hilfe der Laplace-Transformation, Laplace-Gleichung, Laplace-Operator. |
| 1782 | James Wat | Beginn der Industriellen Revolution, Konstruktion einer Dampfmaschine |
| 1788 | James Watt | Fliehkraftregler von Windmühlen zur Anwendung auf Dampfmaschinen übertragen |
| 1868 | James Clerk Maxwell | Systembeschreibung verschiedener Regler durch Differentialgleichungen |
| 1895 | Adolf Hurwitz | Stabilitätskriterium in Abhängigkeit vom Nennerpolynom der Übertragungsfunktion, Hurwitzpolynom |
| 1922 | Nicolas Minorsky | Schiffsteuerung mit PID-Regelung bei der US-Navy |
| 1932 | Harry Nyquist | Stabilitätskriterium basierend auf der Ortskurve des Frequenzgangs |
| 1938 | Hendrik Wade Bode | Frequenzganganalyse (Bodediagramm) |
| 1942 | Ziegler / Nichols | Einstellregeln für P-, PI- und PID-Regler |
| 1942 | Norbert Wiener | Modelle der Prädiktion (Vorhersage), Modelle der Flugbahn von Flugzeugen; Automatische Zielsteuerung. |
| 1944 | Hermann Schmidt | Erster Lehrstuhl für Regelungstechnik in Deutschland an der TH Berlin-Charlottenburg |
| 1947 | Norbert Wiener | Schöpfer des Begriffs Kybernetik. Unter anderem wird hier der Rückkoppelungsmechanismus in technischen und biologischen Systemen untersucht. Ein weiterer grundlegender Begriff hierzu ist Kommunikationstheorie. |
| 1948 | Walter Richard Evans | Wurzelortskurve |
| 1955 | Heinrich Kindler | Erstes Institut für Regelungstechnik im deutschsprachigen Raum an der TH Dresden |
| 1957 | Winfried Oppelt | Erster Lehrstuhl für Regelungstechnik in der Bundesrepublik Deutschland an der TH Darmstadt |
| 1960 | Rudolf Kálmán | Kalman-Filter, Zustandsraumdarstellung |
| 1962 | Richard Bellman | Optimalitätsprinzip von Bellman, Dynamische Programmierung, Bellman-Algorithmus |
| 1965 | Lotfi Zadeh | Fuzzy-Set-Theorie als unscharfe Mengenlehre entwickelt (University of California, Berkeley). In Japan als Fuzzy-Logik für Fuzzy-Regler (Controller) seit 1980er Jahren in industriellen Prozessen eingesetzt, in Europa seit den 1990er Jahren. |
| 1969 | Richard E. Morley | Erfindung: Speicherprogrammierbare Steuerun (SPS) beim US-amerikanischen Unternehmen Modicon (Typ Modicon 084). Auf Basis des Mikroprozessors (erfunden 1971 in den USA) entwickelte sich die SPS schrittweise zum universellen Automatisierungsmittel für Steuerung, Regelung und Messwertverarbeitung. |
| 1974 | Günther Schmidt | Erster europäischer Universalregler auf Mikroprozessor-Basis (Digitalregler) an der TU München (gemeinsam mit H. Birk) |
Definition von Regelung und Steuerung
Normung von Regelung und Steuerung
Zur Geschichte der Normung von Regelung und Steuerung sind im Artikel Steuerungstechnik nähere Ausführungen zu finden.
Die Norm „IEC 60050-351 Internationales Elektrotechnisches Wörterbuch – Teil 351: Leittechnik“ legt Grundbegriffe der Leittechnik fest, unter anderen auch Prozess und Leiten, und schließt dabei die Regelung und die Steuerung mit ein. Sie ersetzt in Deutschland die DIN-Normen DIN IEC 60050-351 und DIN V 19222:2001-09. Die früher gültige Norm DIN 19226 für die Definition regelungstechnischer und steuerungstechnischer Begriffe ist seit dem Jahre 2002 nicht mehr gültig.
Die Norm DIN IEC 60050-351 enthält eine Definition des Begriffs Regelung:
- Die Regelung bzw. das Regeln ist ein Vorgang, bei dem fortlaufend eine Größe, die Regelgröße erfasst, mit einer anderen Größe, der Führungsgröße, verglichen und im Sinne einer Angleichung an die Führungsgröße beeinflusst wird.
- Kennzeichen für das Regeln ist der geschlossene Wirkungsablauf, bei dem die Regelgröße im Wirkungsweg des Regelkreises fortlaufend sich selbst beeinflusst.
Dieser Definition liegt der Wirkungsplan für eine einschleifige Eingrößen-Regelung zugrunde, wie diese in der Praxis am häufigsten auftritt. Darin sind die einzelnen Größen wie die Regelgröße, die Führungsgröße sowie die nicht genannte Messgröße (Rückführung), die Stellgröße und die Störgröße als dynamische Größen zu betrachten.
Grundstruktur des Regelkreises
Die Regelgröße (Istwert) y wird mit der Führungsgröße (Sollwert) w verglichen. Die Regelabweichung als Differenz zwischen Istwert yM und Sollwert w (hier dargestellt ist die Regeldifferenz e = w – yM, die gleich der negativen Regelabweichung ist) wird dem Regler zugeführt, der daraus entsprechend dem gewünschten Zeitverhalten (Dynamik) des Regelkreises eine Stellgröße u bildet. Das Stellglied kann Bestandteil des Reglers sein, in den meisten Fällen stellt es jedoch ein separates Gerät dar. Die Störgröße d wirkt auf die Regelstrecke, sie kann auch nur auf einzelne Teile der Regelstrecke Einfluss nehmen. Das Messglied in der Rückführung kann eine Zeitverzögerung aufweisen, die bei schnellen Regelstrecken mit zu berücksichtigen ist.
Für die gewollte Minimierung der Regelabweichung (bzw. Regeldifferenz) e(t) hängt die Polarität der Regelabweichung nicht nur von der Führungsgröße w(t) ab, sondern auch vom Wirkungssinn der Regelstrecke (direkt oder invertierend).
Eine positive Regelabweichung führt über die Verstärkung des Reglers nur dann zu einer positiven Zunahme der Regelgröße, wenn die Regelstrecke zur Reduzierung der Regelabweichung einen positiven Stellwert benötigt.
Handelt es sich bei einer Regelstrecke z.B. um eine Heizung, so führt ein positiver Stellwert zu einer steigenden Temperatur.
Handelt es sich bei der Regelstrecke z.B. um ein Kühlaggregat, so führt ein positiver Stellwert zu einer sinkenden Temperatur. Ein solcher Fall ist in einem Blockschaltbild des Regelkreises durch eine Vorzeichenumkehr der Stellgröße zu kennzeichnen.
Prinzipiell ist die Regelung einer Regelstrecke als Mehrgrößensystem ähnlich dem Eingrößensystem. Zusätzlich gehört dazu die Definition der Kopplungselemente und damit ist für die Regelkreisauslegung ein höherer mathematischer Aufwand erforderlich.
Für eine Mehrgrößen-Regelung ist kennzeichnend, dass eine einzige Stellgröße als Eingangsgröße der Regelstrecke stets mehrere Ausgangsgrößen (Regelgrößen) beeinflusst. Hierdurch wirkt ein Ausgang der Regelstrecke als rückgeführte Regelgröße nicht nur auf sich selbst, sondern infolge vorliegender Verkopplungen in der Mehrgrößen-Regelstrecke zugleich auch auf alle anderen Regelgrößen (z.B. bei Klimaanlagen die Zweigrößen-Regelung von Temperatur und relativer Feuchte: ein Stelleingriff u1 in die Heizung mit Temperaturerhöhung y1 führt gleichzeitig zum Absinken der relativen Feuchte y2, ein Stelleingriff u2 in die Befeuchtungseinrichtung mit Feuchteerhöhung y2 senkt zugleich die Temperatur y1).
Steuerungsarten
In der Automatisierungstechnik spielen neben Regelungen auch Steuerungen eine sehr wichtige Rolle.
Der Begriff Steuerung ist in der Norm DIN IEC 60050-351 folgendermaßen definiert:
- Das Steuern, die Steuerung, ist ein Vorgang in einem System, bei dem eine oder mehrere Größen als Eingangsgrößen, andere Größen als Ausgangs- bzw. Steuergrößen aufgrund der dem System eigentümlichen Gesetzmäßigkeiten beeinflussen.
- Kennzeichen für das Steuern ist entweder der offene Wirkungsweg oder ein zeitweise geschlossener Wirkungsweg, bei dem die durch die Eingangsgrößen beeinflussten Ausgangsgrößen nicht fortlaufend und nicht wieder über dieselben Eingangsgrößen auf sich selbst wirken.
Bei Steuerungen können die Eingangs- und Ausgangsgrößen analoge oder binäre Größen sein. In Abhängigkeit davon unterscheidet man analoge oder binäre Steuerungen. Während analoge Steuerungen überwiegend in der Regelungstechnik zum Einsatz kommen, sind binäre Steuerungen primärer Gegenstand der Steuerungstechnik.
Analoge Steuerungen
Im Gegensatz zu einem Binärsignal oder einem Digitalsignal weist ein Analogsignal einen stetigen und beliebig feinen Verlauf auf und kann im Dynamikbereich theoretisch unendlich viele Werte annehmen. Die Grenzen der Signalauflösung sind durch parasitäre Signalrauschanteile gegeben. Bei Anwendung von Abschirmmaßnahmen und Signalfiltern lässt sich die Signalauflösung verbessern.
Beim Wirkungsplan von stetigen Steuerungen entfällt gegenüber dem Wirkungsplan der Regelung die über das Messglied der Regelgröße vollzogene Rückführung (Rückkopplung). Die Führungsgröße bildet über die Steuereinrichtung eine Stellgröße, die über die Steuerstrecke direkt die Ausgangsgröße bestimmt.
In der Realität übernehmen häufig elektrische Spannungen als Hilfsgrößen die Signalführung des analogen Steuerprozesses und wirken auf das Stellglied und damit auf die Steuerstrecke. Auf diese Weise ergibt sich der gewollte Ausgangswert der Steuergröße. Die Beziehung der Führungsgröße über die Steuereinrichtung zur Steuerstrecke ist häufig proportional. Sie könnte auch nichtlinear sein, wenn dieses Verhalten in der Steuereinrichtung so festgelegt wird. Hat die analoge Steuerstrecke mehrere Ein- und Ausgänge, handelt es sich um eine Mehrfachsteuerung, deren Signalverkopplung bekannt sein muss.
Greifen keine Störgrößen
die Steuerstrecke an, arbeitet eine offene Steuerung bei gut bekannter stabiler
Strecke problemlos. Sind die Störungen messbar, können sie durch geeignete
Maßnahmen kompensiert werden. Beispielsweise ist die Energiezufuhr für eine
Heizungseinrichtung, bei der die Führungsgröße
in Abhängigkeit vom Wert der Außentemperatur wirkt und damit den Raum aufheizt,
eine offene Steuerung. Wird ein Fenster des Raumes zur kalten äußeren Umgebung
geöffnet, wirkt also eine Störgröße
,
dann sinkt die Rauminnentemperatur
,
weil keine Rückkopplung vorliegt und die Energiezufuhr nicht erhöht wird.
Der Wirkungsplan in der Abbildung zeigt eine stetige Steuerung, die als offene Kette aus Steuereinrichtung und Steuerstrecke dargestellt ist. Um durch eine (stetige) Steuerung auch bekannte dominante Störeinflüsse kompensieren zu können, kann zusätzlich eine Störgrößenaufschaltung verwendet werden (oberer Block in der Abbildung), die als eine Rückführung der Störgröße auf den Eingang der Steuerstrecke wirkt und damit diese Störgröße kompensiert.
Binäre Steuerungen (Übersichtsdarstellung)
Unter dem Begriff Steuerungstechnik versteht man selten eine analoge Steuerung, sondern die signaltechnische Behandlung von Steuereinrichtungen mit vielen meist binären Ein- und Ausgängen, die auf die Steuerstrecke eingreifen und den Sollablauf eines technischen Prozesses verwirklichen.
Die binären Steuerungen mit zweiwertigen Signalen (logisch 1 und logisch 0) unterscheiden sich durch kombinatorisches und sequenzielles Verhalten. Kombinatorisches Verhalten (Verknüpfungssteuerung) bedeutet logische binäre Signalverknüpfungen.
Sequentielles Verhalten bezieht sich auf hintereinander folgende Funktionsabläufe (Ablaufsteuerungen). Ablaufsteuerungen können nach einem Programm mit unterschiedlichen Zeitblöcken hintereinander auf Aktoren als offene Steuerung einwirken. Der sequentielle Ablauf kann aber auch mit einer Rückmeldung als vollzogene Bestätigung eines Steuervorgangs verbunden sein und entspricht damit einer zeitweise geschlossenen Steuerung.
Bei Speicherprogrammierbaren Steuerungen werden die binären Eingangssignale über das digitale Rechenwerk zu binären Ausgangssignalen verarbeitet. Das Rechenwerk wird über ein Programm gesteuert, das in Speichern abgelegt ist. Es können auch digitale oder analoge Regelkreise eingebunden sein. Analoge Signale werden zeitdiskret numerisch berechnet.
Die Steuereinrichtungen beeinflussen die Steuerstrecke gemäß einem Lastenheft über Bedienelemente wie Signalgeber (Schalter, Taster, Tastaturfeld) mit Steuerfunktionen wie Schalt- Zähl-, Zeit- Vergleicher und Speichervorgängen sowie zeitliche Ablauffunktionen. Soweit physikalische analoge Größen überwacht werden, sind die entsprechenden Sensoren erforderlich. Auch Noteingriffe für die automatische Abschaltung des Prozesse können erforderlich werden.
Innerhalb der Steuerstrecke oder deren Ausgänge findet der Prozessablauf statt. Aktoren jeglicher Art (Motoren, Ventile, Pumpen, Förderbänder, Schaltschütze), Hydraulik- und Pneumatikelemente, Stromversorgung, Regler wirken auf den Prozess. Ausgangssignale beziehen sich auf die Kontrolle des Prozesses und sind durch Signallampen, Alphanumerische Anzeigen, Fehlermeldungstableaus, Akustische Signalgeber, Protokollschreiber usw. realisiert.
Siehe auch Neuartige Methoden zur Prozessbeschreibung und zum Entwurf von Steueralgorithmen.
Anwendungen binärer Steuerungstechnik sind beispielsweise Offset-Rotationsmaschinen in Druckereibetrieben, Automatisierung chemischer Produktionsanlagen, Atomkraftwerke, Überwachungsanlagen.
Vor- und Nachteile von Regelungen und stetigen Steuerungen
Vorteile von Regelungen:
- Auftretende bekannte und unbekannte nicht messbare Störungen werden reduziert oder eliminiert.
- Eine größere Verstärkung kann die Regelstrecke schneller machen, solange keine Stellgrößenbegrenzungen und keine Instabilitäten auftreten.
- Für die Systemanalyse eines Regelkreises sind auch angenäherte Modelle der Regelstrecke ausreichend.
- Monoton instabile Regelstrecken können durch Einbindung in einen Regelkreis stabilisiert werden.
Nachteile von Regelungen:
- Der Regelkreis kann durch ungewollte, z.B. durch Alterung und Verschleiß bedingte Parameteränderungen instabil werden.
- Genaue und schnelle Messungen der Regelgröße können kostenintensiv sein.
- Heuristische Optimierungsverfahren wie „Versuch und Irrtum“ reichen bei anspruchsvollen Regelungen nicht aus. Qualifizierte Fachleute sind erforderlich.
Vorteile von stetigen Steuerungen
- Die Wirkungsabläufe sind leicht überschaubar.
- Bei Auftreten einer Störung kann manuell auf den Prozess eingewirkt werden.
- Es können kein instabiles Verhalten und keine schädigenden überhöhten Amplituden der Steuergröße durch falsch angepassten Regler auftreten.
- Eine besondere Messeinrichtung für eine Rückmeldung der Steuergröße
ist nicht erforderlich.
Nachteile von stetigen Steuerungen
- Nur bekannte messbare Störungen können durch geeignete Maßnahmen kompensiert werden.
- Die Steuerstrecke muss sehr gut bekannt sein, wenn eine Störungskompensation in gewünschter Weise wirksam sein soll.
- Es erfolgt keine Rückmeldung, ob die Führungsgröße
durch die Ausgangsgröße
erreicht wurde.
- Es besteht keine Möglichkeit, eine instabile Strecke zu stabilisieren.
Aufgaben des Reglers und zugehörige Entwurfsstrategien
Die Aufgabe des Reglers besteht gewöhnlich darin, die Regelgröße der
Führungsgröße möglichst gut anzunähern und den Einfluss von Störgrößen zu
minimieren. Die Führungsgröße
kann als fester Sollwert, als programmgesteuerte Sollwertvorgabe oder als
kontinuierliches, zeitabhängiges Eingangssignal mit besonderen
Folgeeigenschaften für die Regelgröße ausgelegt sein.
Eine der Regelstrecke nicht angepasste zu hohe Kreisverstärkung kann bei Regelstrecken mit mehreren Verzögerungsgliedern oder gar mit Totzeitverhalten zur oszillatorischen Instabilität führen. Bedingt durch die Zeitverzögerung in der Regelstrecke wird über den Soll-Istwert-Vergleich dem Regler die Regeldifferenz verspätet zugeführt. Diese nacheilende Verschiebung der Regelgröße kann am Soll-Istwert-Vergleich anstelle einer Gegenkopplung eine Mitkopplung bewirken, und der geschlossene Regelkreis wird hierdurch instabil und baut Dauerschwingungen auf.
Regelkreis-Entwurfsstrategien für lineare Systeme
Die Entwurfsstrategien für Regelkreise beziehen sich bei linearen Systemen auf die Optimierung des statischen Verhaltens und des Zeitverhaltens des jeweiligen geschlossenen Regelkreises. Je geringer beispielsweise die Zeitverzögerungen der Regelstrecke sind, umso höher kann die sog. Kreisverstärkung und damit die Verstärkung des Reglers gewählt werden, was die statische Genauigkeit der Regelung verbessert.
Eine hohe Kreisverstärkung macht den Regelkreis auch dynamisch schnell, sie kann aber praktisch nur begrenzt realisiert werden, weil die Stellgröße wegen technischer Anschläge oder aus Energiemangel nicht unbegrenzt wachsen kann. Eine geringere Regler-Verstärkung in Verbindung mit einer zeitlich integral wirkenden Komponente des Reglers macht den Regelkreis für alle statischen Einflüsse zwar genauer und stabiler, aber eben auch langsamer. Hierzu muss mittels einer geeigneten Entwurfsstrategie eine optimierte Kompromisslösung gefunden werden. Zur Beurteilung wurde dazu der Begriff Regelgüte definiert, der es erlaubt, das unvermeidliche periodisch gedämpfte Einschwingverhalten der Regelgröße in Regelkreisen mit Regelstrecken höherer Ordnung abzuschätzen.
Regelkreis-Entwurfsstrategie bei gemischten linearen und nichtlinearen Systemen
Die Entwurfsstrategie bei gemischten linearen und nichtlinearen Systemen ist komplizierter und bezieht sich auf Modelle wie z.B. das Hammerstein-Modell, bei dem eine statische Nichtlinearität in Verbindung mit einem dynamischen linearen System zusammenwirkt. Das Verhalten unstetiger nichtlinearer statischer Regler in Verbindung mit linearen Regelstrecken kann mit dem Verfahren der harmonischen Balance behandelt werden.
Regler in Regelkreisen mit nichtlinearen und linearen Komponenten lassen sich sinnvoll mit der numerischen Mathematik behandeln, insbesondere mit modernen Simulationswerkzeugen, wie diese auch für Personalcomputer (PC) zur Verfügung stehen.
Zur Bestimmung des Systemverhaltens der Regelstrecke und des Reglers sind verschiedene theoretische und experimentelle Analysemethoden und mathematische Entwurfsverfahren üblich. Die Grundlagen zur mathematischen Behandlung und die speziellen Verfahren für die Regelungstechnik folgen in den nachstehenden Kapiteln.
Als einfaches, anschauliches Beispiel für einen Standard-Regelkreis soll hier zunächst die Regelung der Raumtemperatur auf Grundlage einer Warmwasser-Zentralheizung und deren Gerätekomponenten dienen.
Beispiel der Heizungsregelung eines Gebäudes
Gasheizkessel, Ölheizkessel und Feststoffheizkessel gewinnen die Wärmeenergie aus der Verbrennung meist fossiler Brennstoffe und transportieren die Wärmeenergie über den Wärmeträger Wasser. Ein über eine Brennkammer erhitzter Heizkessel ist mit Hilfe einer Heizungspumpe an einen Warmwasserkreislauf mit Heizkörpern angeschlossen.
Die Wärmeenergie des Heizkörpers erwärmt die umgebende Raumluft durch Konvektion und Strahlung. Die Wärmeenergie mit dem Temperaturgefälle zwischen Heizkörper und Raumtemperatur fließt je nach Größe der Außentemperatur über die Fenster, Türen, Raumwände und Außendämmung an die Außenwitterung ab.
Kommerziell werden zahlreiche unterschiedliche Heizkörperformen mit unterschiedlichen Wärmeabgabeverhalten bezüglich Konvektion und Strahlung angeboten. Die bekannteste ältere Heizkörperart ist der Rippenheizkörper aus Gusseisen.
Dezentrale Raumtemperaturregelung
Die an das Gebäude abgegebene Wärmeenergie ist durch die Differenz der Vorlauf- und Rücklauftemperatur am Heizkessel gegeben. Alle Heizkörper der Räume eines Gebäudes erhalten die gleiche meist nach der Außentemperatur gesteuerte Vorlauftemperatur. Die Heizkörper sämtlicher Räume sind mit Thermostatventilen ausgestattet.
Ziel ist das selbsttätige Halten der Raumtemperatur als Regelgröße auf einem
gewünschten Sollwert. Am Thermostatventil
wird die gewünschte Solltemperatur des Raumes eingestellt. Das Ventil verändert
den Warmwasserstrom durch den Heizkörper und damit die Raumtemperatur. Der
Sensor des Thermostatventils misst die aktuelle Zimmertemperatur
(Theta) und
verändert die Ventilstellung.
In der vereinfachten grafischen Darstellung der Heizungsregelung eines Wohnhauses bedeutet die Funktion der Gegenkopplung, dass eine zu hohe Raumtemperatur über das Thermostat zum Schließen des Heizungsventils des Heizkörpers führt.
Das Thermostatventil ist eine Geräteeinheit und besteht aus dem Sensor, Regler und Aktor. Durch Drehen des Thermostates innerhalb des Bereiches einer Skala wird ein Temperatur-Sollwert vorgegeben. Die spezielle Flüssigkeit des Temperatursensors im Thermostatventil dehnt sich bei Erwärmung über die Temperatur der Raumluft aus und bildet den Istwert. Diese Dehnung wird direkt auf den Ventilhub als Stellgröße übertragen (Regler). Bei zu hoher Raumtemperatur verringert sich der Warmwasserstrom durch den Heizkörper und die Raumtemperatur sinkt.
Das Thermostatventil erlaubt keinen Eingriff auf den Regler und damit auf das zeitliche Regelverhalten. Durch die unmittelbare Nähe zwischen Messort und Heizkörper ergibt sich eine leicht zu regelnde Regelstrecke, so dass ein Thermostatventil problemlos bei verschiedenen Gebäuden für die Raumtemperaturregelung innerhalb eines Warmwasserkreislaufes eingesetzt werden kann.
Alternativ stehen auch geeichte Thermostate als eine kompakte Einheit in elektronischer Ausführung zur Verfügung, die auf das gleiche Ventil am Heizkörper wirken. Sie benötigen eine handelsübliche Batterie als Hilfsenergie.
Hauptregler für den Referenzwohnraum
Neben der dezentralen Temperatur-Regelung der Wohnräume mit Thermostatventilen ist bei modernen Heizungsanlagen ein Referenzwohnraum (auch Pilotraum, Führungsraum, größter Wohnraum) eingerichtet, bei dem ein zentraler hochwertiger Hauptregler über einen Raumtemperatur-Sollwertgeber und einen Referenzraum-Temperaturfühler die Vorlauftemperatur für den gesamten Warmwasserkreislauf des Gebäudes zentral vorgibt und die Referenzraum-Temperatur regelt.
Die Temperaturunterschiede zwischen den Heizkörpern und der kühleren Raumluft erzeugen Luftbewegungen (Konvektion) und zum geringeren Anteil Strahlungsenergie, die auf den Messfühler einwirken. Der Regler erhöht je nach Bedarf durch Einschalten des Brenners die Heizkörpertemperatur oder senkt sie gegebenenfalls durch Ausschalten des Brenners.
Für die Güte einer Regelung der Raumtemperatur sind auch die konstruktiven Raumbedingungen und Geräteanordnungen wie Heizkörper und Abstand des Messortes der Raumtemperatur maßgebend. Man kann nicht in einem langgestreckten Raum erwarten, dass durch einen Heizkörper mit dem im Abstand von 10 cm befindlichen Thermostat sich eine gleichmäßige Raumtemperatur über den ganzen Raum einstellt. Andererseits bedeutet ein großer Abstand zwischen Heizkörper und Messort der Raumtemperatur, dass sich eine größere Signallaufzeit (Totzeitverhalten) bildet.
Üblich ist die Montage des Messfühlers im Referenzwohnraum an der gegenüberliegenden Wand der Heizkörperebene. Der Messfühler misst die Lufttemperatur, nicht die Innenwand-Temperatur. Die Heizkörper des Referenzwohnraumes erhalten keine Thermostatventile.
Bezeichnungen für Komponenten und Signale des Regelkreises
Anmerkung:
- In der deutschen Fachliteratur sind die regelungstechnischen Signalbezeichnungen nicht immer den gültigen DIN-Normen entnommen, sondern stammen teilweise vermutlich aus den Darstellungen von Signalflussplänen dynamischer Systeme des Zustandsraumes. Diese aus den USA von dem Mathematiker und Stanford-Universitätslehrer Rudolf Kálmán stammende Theorie und die damit verbundenen Signalbezeichnungen sind seit den 1960er Jahren unverändert.
- Einige Fachbücher der Regelungstechnik zeigen für die Darstellung von Signaleingängen und Signalausgängen von Übertragungssystemen auch die Bezeichnungen XA (Ausgangsgröße) und XE (Eingangsgröße).
| Bezeichnung | Zeichen wie bei Zustandsraum-Systemen | Zeichen nach DIN IEC 60050-351 |
Bedeutung allgemein und im Beispiel (Raumtemperatur-Regelung mit Thermostatventil) |
|---|---|---|---|
| Regelstrecke | GS(s) |
| |
| Störgröße | d | z |
|
| Regelgröße | y | x |
|
| Istwert |
| ||
| Messglied |
| ||
| Messgröße | yM | yM |
|
| Führungsgröße | w | w |
|
| Sollwert |
| ||
| Regelabweichung | e = w − y |
e = w − x |
|
| Regler | GR(s) |
| |
| Stellglied |
| ||
| Reglerstellgröße | uR | yR |
|
| Stellgröße | u | y |
|
Definition Wärmeenergie
Umgangssprachlich wird die thermische Energie etwas ungenau als „Wärme“ oder „Wärmeenergie“ bezeichnet. Die thermische Energie Eth eines Stoffes ist definiert als
wobei c die spezifische Wärmekapazität, m die Masse und T die absolute Temperatur ist. Diese Definition setzt voraus, dass der Stoff sich innerhalb seines Aggregatzustandes befindet. Für Wasser gilt der flüssige Zustand im Temperaturbereich von 0(+) °C bis 100(-) °C bei Normaldruck in Meereshöhe.
Eine Wärmezufuhr steigert die mittlere kinetische Energie der Moleküle und damit die thermische Energie eines Stoffes, eine Wärmeabfuhr verringert sie.
Kommen zwei thermische Energie-Systeme mit unterschiedlichen Temperaturen zusammen, so gleichen sich ihre Temperaturen durch Wärmeaustausch an. Diese Angleichung erfolgt so lange, bis keine Temperaturdifferenz zwischen den Systemen mehr auftritt. Diesen Vorgang bezeichnet man als Wärmeübertragung.
Ohne zusätzliche Hilfe (Energie) kann niemals thermische Energie vom System niedrigerer Temperatur in das System höherer Temperatur überführt werden.
Der Wärmefluss oder Wärmestrom ist eine physikalische Größe zur quantitativen Beschreibung von Wärmeübertragungsvorgängen.
Als Grenzfläche oder Phasengrenze wird in der Physik und Materialwissenschaft die Fläche zwischen zwei Phasen (hier Phase = räumlicher Bereich der Materie Zusammensetzung wie Dichte der homogenen Materie) bezeichnet. Als Grenzflächen werden die Flächen zwischen flüssigen und festen, flüssigen und flüssigen, festen und festen und festen zu gasförmigen Phasen bezeichnet.
Alternative stetige und unstetige Regelung
Zur Regelung der Referenzraumtemperatur bieten sich zwei Wege als stetige oder nichtstetige Regelung an:
Die Änderung der Außentemperatur ist in der Regel als statische Störgröße zu betrachten, weil das Zeitverhalten sehr langsam im Verhältnis zur Änderung der Vorlauftemperatur ist. Erst wenn die Änderung der Außentemperatur sich über die Außendämmung und über die Masse der Gebäudewände am Messfühler des Referenzraumes bemerkbar macht, kann der Heizungsregler reagieren.
Die Regelung der Raumtemperatur des Referenzraumes kann konventionell meist über digitale Regler erfolgen, die an die Regelstrecke des Warmwasserkreislaufes angepasst werden müssen.
Häufig werden industriell gefertigte Heizungskessel mit digitalen Reglern mit Anwendung der Fuzzy-Logik ausgeführt. Die Grundidee der Fuzzy-Controllers bezieht sich auf die Einbindung des Expertenwissens mit linguistischen Begriffen, durch die der Fuzzy-Controller mehr oder weniger mit empirischer Methodik optimal an einen nichtlinearen Prozess mit mehreren Ein- und Ausgangsgrößen modelliert wird, ohne dass das mathematische Modell des Prozesses (Regelstrecke) vorliegt.
Vereinfacht ausgedrückt entspricht die Anwendung der Fuzzy-Logik der menschlichen Denkweise, Tendenzen des Verhaltens eines unbekannten Systems zu erkennen, vorauszusehen und dem ungewollten Verhalten entgegenzuwirken. Diese Handlungsweise wird in sogenannten „WENN-DANN-Steuerregeln“ einer Regelbasis festgelegt.
Verfahren der stetigen und unstetigen Regelung:
- Die Regelung der Raumtemperatur des Referenzraumes kann über einen stufenlosen Regler erfolgen, der auf ein stetig arbeitendes Mischventil (Dreiwegemischer) wirkt, das bei Wärmebedarf auf den Heizkessel zugreift. Diese Form der Regelung wird häufig in Mehrfamilien-Wohnhäusern eingesetzt.
- Die Regelung der Raumtemperatur des Referenzraumes kann über einen Zweipunktregler erfolgen.
- Diese kostenminimale Variante eignet sich besonders für den intermittierenden Betrieb für das zyklische Ein-Ausschalten des Brenners.
Unstetige Regelung
Ein unstetiger Zweipunktregler ohne Hysterese hat Eigenschaften, die einer hohen Kreisverstärkung entsprechen. Ob sie voll genutzt werden kann, hängt von der Art der Regelstrecke ab. Dieser Regler eignet sich besonders für Regelstrecken, die in weiten Grenzen zur kontinuierlichen Leistungsanpassung im intermittierenden Betrieb (Ein- Ausschaltbetrieb) gesteuert werden müssen.
Das Verhältnis des maximalen zum augenblicklichen Wärmeenergiebedarf ist durch das Verhältnis der Einschalt- Ausschaltzeit gegeben:
Die Stellgröße des Zweipunktreglers bestimmt in Abhängigkeit von der Regelabweichung das Verhältnis der Ein- zur Ausschaltzeit. Die Reglerhysterese und Totzeitverhalten der Regelstrecke setzen die Schaltfrequenz herunter. Spezielle Rückführungen des Zweipunktreglers und Aufschaltung eines D-Anteils der Regelabweichung erhöhen die Schaltfrequenz.
Berechnung der Wärmeenergieflüsse Das Verhalten der Wärmeenergieflüsse kann berechnet werden, indem durch ein Blockdiagramm mit einzelnen Funktionsblöcken das dynamische Zeitverhalten der Wärmeenergieflüsse an den sogenannten Grenzflächen (z.B. Brenner / Heizkessel, Heizkörper / Luft oder Innenwände / Außenwände / Außenwitterung) dargestellt wird. Die Funktionsblöcke entsprechen geeigneten mathematischen Modellen als System-Beschreibungsfunktionen.
Tag- und Nachtabsenkung der Raumtemperatur Für die zur Energie-Einsparung mit Hilfe der sogenannten Tag-Nacht-Absenkung der Raumtemperatur ist das Speicherverhalten der Gebäudewände und deren Dämmuing von entscheidender Bedeutung. Bei konstanter niedriger Außentemperatur und längerfristiger Raumtemperaturabsenkung ist das Energie-Sparpotential groß. Bei kurzfristiger Raumtemperaturabsenkung müssen anschließend die Gebäudewände wieder aufgeheizt werden, ohne dass sich ein stationärer Temperaturzustand der Grenzflächen im Mauerwerk mit der Dämmung gebildet hat, der das Energiesparen möglich macht.
Außengeführte Vorlauftemperaturbegrenzung
Der Wärmebedarf in Wohnräumen ist im sehr kalten Winter ein Mehrfaches höher als in der Übergangszeit Herbst und Frühjahr. Deshalb wird die Vorlauftemperatur des Heizkreises mittels einer Vorsteuerung über einen Regler in Abhängigkeit von der Außentemperatur begrenzt, damit große Überschwingungen der Raumtemperatur (Regelgröße) aber auch Wärmeverluste vermieden werden.
Die Heizkörpertemperatur wird gewöhnlich nicht gemessen, sie wird aus dem Mittelwert der Vorlauftemperatur und der Rücklauftemperatur am Heizkessel erfasst. Wärmeverluste der isolierten Rohrleitungen werden vernachlässigt.
Die Kennlinie der Begrenzung der Vorlauftemperatur des Heizkreises als Funktion der Außentemperatur lässt sich bei kommerziellen Anlagen einstellen und ist abhängig von der Klimazone. Die begrenzte Vorlauftemperatur muss jeweils etwas höher liegen, als der Wert, der für den Wärmebedarf des eingestellten Referenzraum-Temperatursollwertes erforderlich ist. Die Begrenzungsregelung der Vorlauftemperatur als Funktion Außentemperatur kann durch einen einfachen Zweipunktregler erfolgen.
Störgrößen des Heizungsregelkreises
Störgrößen der Raumtemperaturregelung sind Änderungen der Wärmeenergieerzeugung durch intermittierenden Betrieb, bei dem z.B. die Auswirkungen der Schwankungen des Gasdrucks (Gasheizkessel) oder Änderung des Brennheizwertes des Heizöles (Ölheizkessel) vernachlässigbar sind.
Kurzfristig angreifende Hauptstörgrößen auf die Raumtemperatur sind offenstehende Türen oder Fenster und die Sonneneinstrahlung im Fensterbereich.
Die Hauptstörgröße einer Gebäudeheizung ist der Einfluss der Außentemperatur. Die Änderung der Außentemperatur und der Einfluss von Wind und Niederschlägen sind wegen der Wärmespeicherfähigkeit der Gebäudemasse langfristig wirkende Störgrößen.
An Regelstrecken können Störgrößen an allen Teilregelstrecken angreifen. Kurzfristige Störgrößen zeichnen einen geringen Einfluss auf den Istwert der Regelgröße, wenn sie am Eingang der Regelstrecke auftreten. Den größten Einfluss haben Störgrößen an Regelstrecken, wenn sie am Ausgang der Regelstrecke auftreten.
Die Beurteilung eines linearen Regelkreises mit einem Führungsgrößensprung wird durch die Führungsgrößen-Übertragungsfunktion berechnet.
Die Beurteilung des Störverhaltens eines linearen Regelkreises an einer linearen Regelstrecke wird häufig durch einen Störsprung mit der Störgrößen-Übertragungsfunktion berechnet.
Stationäre oder sprungartige oder impulsartige Störgrößen im Regelkreis lassen sich in einem grafischen Signalflussplan durch eine Additionsstelle positiv oder negativ berücksichtigen.
Die dominanteste und in weiten Grenzen sich ändernde Störgröße der Regelstrecke einer Heizungsanlage ist der Wärmeenergie-Abfluss von der Raumtemperatur über die Gebäudewände zur Außenwitterung. Während der Einfluss einer Störgröße an einem beliebigen Regelkreis lediglich eine technische Information oder ein gefordertes bestimmtes Verhalten der Regelgröße anzeigt, bedeutet die Störgröße des Energieabflusses einer Gebäude-Temperaturregelung an die Außenwitterung ein Energie-Kostenfaktor erheblichen Ausmaßes.
Der Energieabfluss an die Außenwitterung ist unter normalen Betriebszuständen, d.h. geschlossene Fenster und Türen, abhängig:
- von der Außenwitterung, wie Außentemperatur, Sonne, Wind und Regen,
- von der Güte der Wärmedämmungdes Gebäudes.
- Je besser die Außendämmung, umso niedriger kann die Heizkörpertemperatur für eine gegebene Außentemperatur sein.
- von der Größe der Referenzraum-Temperatur
- Jedes reduziertes Grad C einer individuellen „Wohlfühl-Raumtemperatur“ reduziert die Heizkörpertemperatur prozentual beträchtlich.
- von der Größe der dominanten Zeitkonstanten der drei mathematischen Teilmodelle der Heizkörpertemperatur zur Raumtemperatur zur Außentemperatur.
- Für eine konstante Außenwitterung und einen gegebenen Sollwert der Referenzraum-Temperatur stellt sich nach genügend langer Zeit ein Gleichgewichtszustand zwischen der erzeugten Wärmeenergie und der über das Gebäude abfließenden Wärmeenergie ein.
Simulation eines Heizungsregelkreises mit Teilmodellen
Aufgabenstellung: Berechnung des zeitlichen Verhaltens der mittleren Heizkörpertemperatur und der Raumtemperatur eines Referenzwohnraumes für die Raumtemperatur-Sollwertvorgabe von 5 °C auf 20 °C bei einer stationären Außentemperatur von −10 °C. Wind und Niederschläge sollen sich für diesen Vorgang nicht ändern.
Der Signalflussplan der Simulation der Referenzraum-Heizungsregelung zeigt die Beziehungen der Teilmodelle.
Datenvorgabe für den Heizungsregelkreis Für eine überschlägige Berechnung des Regelvorgangs der Raumtemperatur im Referenzraum müssen Vereinfachungen und Zahlenwerte-Annahmen aus Erfahrungen getroffen werden. Folgende Daten werden gegeben:
- maximale Vorlauftemperatur: 80 °C
- Sollwert Raumtemperatur: 20 °C
- stationäre Außentemperatur: −10 °C
- Abfluss der Wärmeenergie [°C], wird empirisch gemessen:
- Für eine mittlere stationäre Heizkörpertemperatur von 60 °C und einer stationären Außentemperatur von −10 °C stellt sich nach genügend langer Zeit eine Raumtemperatur von 20 °C ein.
- Mit diesen Angaben entspricht eine Raumtemperatur-Änderung von 1 °C dem Verhältnis der Differenzwerte der Heizkörpertemperatur zur Raumtemperatur mit Bezug zur Außentemperatur:
- Heizkörpertemperatur = [60−(−10)] / [20−(−10)] = 2,33 °C pro 1 °C Raumtemperaturänderung
- Begrenzte mittlere Heizkörpertemperatur bei −10 °C Außentemperatur: 70 °C
- Gewählter stationärer Anfangswert der Raumtemperatur im Frostschutzmodus als Sollwert: 5 °C
- Berechneter stationärer Anfangswert der mittleren Heizkörperkörpertemperatur im Frostschutzmodus:
- Für eine geforderte stationäre Referenzraumtemperatur von z.B. 5 °C, d.h. Raumtemperaturabsenkung von 15 °C, ergibt sich eine geforderte Heizkörpertemperatur von:
- Heizkörpertemperatur = 60–2,33 · 15 = 25 °C.
Definition der Teilmodelle anhand der geschätzten Datenvorgabe
Für den dynamischen Vorgang der Sollwert-Änderungen mit Bezug zur Heizkörpertemperatur, der Raumtemperatur und der Wärmeenergieabflüsse sind Anfangsbedingungen der Einzelsysteme zu berücksichtigen.
- Teilmodell 1: Wärmeenergieerzeugung vom Brenner zur Heizkörpertemperatur
- Die im Brenner und Heizkessel erzeugte Wärmeenergie wird mit der Heizungspumpe als Vorlauftemperatur durch alle Rohrleitungen und Heizkörper gepumpt und erscheint wieder am Heizkessel als Rücklauftemperatur. Die mittlere Heizkörpertemperatur wird als Mittelwert der Vor- und Rücklauftemperatur angenommen.
- Daten:
- Tt = 4 [Minuten], TE = 60 [Minuten] bei Anstieg, TE = 100 [Minuten] bei Abfall der Heizenergie:
- Teilmodell 2: Heizkörpertemperatur zur Raumtemperatur
- Die von den Heizkörpern abgegebene Wärmeenergie erwärmt die Raumluft, welche zunächst an den Fenstern und dann nach oben zur Zimmerdecke steigt und abkühlt. Dies führt über Konvektion und Strahlung zu Luftverwirbelungen, die auch nach einer Totzeit und Einschwingzeit den Raumtemperaturfühler erreichen.
- Die gemessene und geregelte Referenzraumtemperatur ist nicht identisch mit der Innenwand-Temperatur, des Fußbodens und Zimmerdecke des Referenzraumes, über die (stellvertretend für alle Räume) die Wärmeenergie zur Außenwitterung abfließt.
- Daten:
- Tt = 10 [Minuten], TE = 200 [Minuten] bei Anstieg, TE = 300 [Minuten] bei Abfall der Heizenergie:
- Teilmodell 3: Raumtemperatur zur Gebäudewand innen nach außen zur Außenwitterung
- Das mathematische Modell für die Wärmeenergie-Ableitung von der Raumluft über die Fenster und über die Gebäudewände zur Außendämmung und zur Außenwitterung ist sehr kompliziert und wird deshalb vereinfacht.
- Das Teilmodell 3 besteht aus einem statischen Teil, der die Beziehung Heizkörper-, Raum- und Außentemperatur über eine Geradengleichung wiedergibt, und einem dynamischen Teil, der die Speicherfähigkeit der Gebäudewände und -dämmung berücksichtigt.
- Je nach Beschaffenheit der Masse der Raumwände (Wärmespeicherfähigkeit, Wärmeleitfähigkeit, Innen-Wärmedämmung, Anteil Innen- und Außenwände) und des Dämmungsmaterials der Außenseite kann es sich um ein kompliziertes System höherer Ordnung mit großer dominanter Zeitkonstante handeln. Zur Vereinfachung dieses Teilmodels 3 wird als dynamisches Systemverhalten ein Verzögerungsglied 1. Ordnung (PT1-Glied) mit großer Ersatzzeitkonstante gewählt.
- Für die Simulation des Energieabflusses besteht mit diesen Angaben eine statische Beziehung, die durch eine Geradengleichung festgelegt werden kann.
- Vereinfachtes Modell des Zeitverhaltens:
- Geht man von einem linearen Zusammenhang der Heizkörpertemperatur zur gewählten Raumtemperatur bei konstanter Außentemperatur aus, so lässt sich für verschiedene Werte der Raumtemperatur die Größe der Heizkörpertemperatur aus Geradengleichungen errechnen.
- Allgemeine Geradengleichung mit X als Eingangsgröße und Y als Ausgangsgröße:
- Statische Beziehung von Teilmodell 3
- Über eine Geradengleichung wird bestimmt, welcher Wert von der gefilterten Heizkörpertemperatur (= Ausgang Modell 2) als Funktion der Außentemperatur subtrahiert werden muss, damit sich die Raumtemperatur als Regelgröße ergibt.
- Für die Raumtemperatur 20 °C ist die zugehörige Heizkörpertemperatur mit 60 °C gegeben. Für einen anderen Wert der Raumtemperatur kann die zugehörige Heizkörpertemperatur aus der Proportion der Temperaturdifferenzen zu −10 °C berechnet werden:
- Für das statische Modell 3 wird die Differenz [Heizkörpertemperatur - Raumtemperatur] benötigt. Dieser Wert wird von dem Ausgangssignal des Modells 2 subtrahiert:
- Damit ergeben sich die statische Werte für die Sollwertsprünge der Raumtemperatur die zugehörigen Werte der Heizkörpertemperatur und alle Zwischenwerte:
-
- Sollwert Raumtemperatur 20 °C:
- [Heizkörpertemperatur] - [Heizkörpertemperatur - Raumtemperatur] = [Raumtemperatur] = 60–40 = 20 °C
-
- Sollwert Raumtemperatur 5 °C:
- [Heizkörpertemperatur] - [Heizkörpertemperatur - Raumtemperatur] = [Raumtemperatur] = 25–20 = 5 °C
Grafische Darstellung der Temperaturwerte der Heizungsregelung
Aufgabenstellung Anhand der Teilmodelle der Regelstrecke soll der grafische Verlauf der Heizkörpertemperatur und der Raumtemperatur vom Frostschutzmodus zum Betriebszustand berechnet und grafisch dargestellt werden.
- Für die Berechnung von Übertragungssystemen oder die Simulation von Regelkreisen bieten sich käufliche Rechenprogramme an. Mit den bekanntesten Programmen wie MATLAB und Simulink stehen umfangreiche Befehlssätze für die theoretische Modellierung von dynamischen Systemen und vielen speziellen regelungstechnischen Befehlen zur Verfügung.
- Alternativ können lineare Systeme numerisch mit Hilfe von Differenzengleichungen berechnet werden. Nichtlineare Systeme wie der Zweipunktregler lassen sich einfach mit Hilfe von WENN-DANN-SONST-Anweisungen berechnen. Eine Berechnungsfolge bezieht sich auf eine Kette von hintereinandergeschalteten Systemen, beginnend mit dem Eingangssignal und endend mit dem Ausgangssignal. Jede Folge k bezieht sich auf die diskrete Zeit k·Δt.
Zum besseren Verständnis werden zwei Diagramme mit dem statischen und dynamischen Verhalten von Teilmodell 3 dargestellt.
- Grafische Darstellung des zeitlichen Verhaltens der Temperaturwerte ohne Wärmespeicherung der Gebäudewände (Teilmodell 3 mit T = 0).
- Grafische Darstellung des zeitlichen Verhaltens der Temperaturwerte mit Wärmespeicherung der Gebäudewände (Teilmodell 3 mit T = 500 [Minuten]).
Kritische Beurteilung der Simulationsergebnisse
- Prinzipiell entsprechen die berechneten Zeitverläufe der Heizkörpertemperatur und der Raumtemperatur realistischen Heizungsregelungen.
- Zuverlässigkeit der mathematischen Modelle
- Die Simulation eines dynamischen Prozesses ist so gut wie die Güte der mathematischen Modelle der Regelstrecke.
- Modell 1 (Wärmeenergieerzeugung zum Heizkörper) kann weitgehend der Realität entsprechen.
- Modell 2 (Erwärmung der Raumtemperatur) ist physikalisch dem Modell 1 nachgeschaltet, kann aber nicht die Rückwirkungsfreiheit auf Modell 1 durch die größeren Zeitkonstanten garantieren. Es wirkt mehr als Tiefpassfilter 1. Ordnung auf die sägezahnförmige Änderung der Heizkörpertemperatur.
- Modell 3 (Abfluss der Wärmeenergie an die Außenwitterung) subtrahiert von der Ausgangsgröße des Modells 2 den Anteil der nach außen abfließenden Wärmeenergie. Obwohl es sich bei dem Modell 3 um ein System mit verteilten Energiespeichern handelt, wird es aus Gründen einfacher Berechenbarkeit als ein System mit einem konzentrierten Energiespeicher behandelt. Damit ergibt sich die Regelgröße Raumtemperatur als Funktion der Heizkörpertemperatur und der Außentemperatur.
- Die Zeitkonstanten aller Teilmodelle sind geschätzt.
Grafische Darstellungen der Temperaturwerte
Zum besseren Verständnis werden die Regelvorgänge in 2 Diagrammen, statisch ohne die gespeicherte Wärmeenergie der Wände und dynamisch mit gespeicherter Energie der Wände dargestellt. Es handelt sich um das dritte Teilmodell, dessen Zeitkonstante einmal auf einen Wert für T = 0 und T = 500 gesetzt wird.
Nachfolgend wird die Simulation des Modells des Regelkreises der Gebäudeheizung für einen Sprung des Sollwertes aus dem Frostschutzmodus 5 °C zum Betriebsmodus 20 °C dargestellt.
Kommentar zur Abbildung der Simulation mit dem dritten Teilmodell ohne Speicherfähigkeit der Raumwände Die Berechnung des Abflusses der Wärmeenergie von den Anfangswerten zu den Endwerten erfolgt rein statisch ohne gespeicherte Wärmeenergie der Gebäudewände.
Der Sollwertsprung erfolgt nach 200 Minuten. Das vereinfachte statische Teilmodell 3 als PT1-Glied mit dem Verhalten der Zeitkonstante T = 0 zeigt die stationären Zustände der Heizkörpertemperatur und der Raumtemperatur an, die sich nach genügend langer Zeit einstellen. Der Übergang von den unteren Temperaturwerten zu den oberen Temperaturwerten ist zeitlich nicht real, weil zu jedem Wert der Heizkörpertemperatur und der Raumtemperatur nicht die gespeicherte Wärme der Gebäudewände berücksichtigt ist.
Kommentar zur Abbildung der Simulation mit dem dritten Teilmodell mit Speicherfähigkeit der Raumwände Die Berechnung des Abflusses der Wärmeenergie von den Anfangswerten zu den Endwerten erfolgt mit Berücksichtigung der gespeicherten Wärmeenergie der Gebäudewände.
Der Sollwertsprung erfolgt nach 200 Minuten. Das vereinfachte statische Teilmodell 3 als PT1-Glied für die Wärmespeicherfähigkeit der Raumwände mit der Zeitkonstante T = 500 Minuten zeigt das Verhalten des Anstiegs der Heizkörpertemperatur und der Raumtemperatur an. Dabei wird deutlich, dass die Raumtemperatur den Sollwert 20 °C bereits erreicht hat, während die Heizkörpertemperatur wegen der gespeicherten Wärmeenergie der Wände nur mit 45 °C gefordert wird. Erst nach ca. 2000 Minuten stellt sich die Heizkörpertemperatur von 60 °C als statisch ein, konstante Witterungseinflüsse vorausgesetzt.
Mathematische Methoden zur Beschreibung und Berechnung eines Regelkreises
Dieses Kapitel zeigt die Anwendung der Methoden der Regelungstechnik und der Systemtheorie für die Berechnung von dynamische Systemen und Regelkreisen. Dabei werden die Begriffe von Verfahren der Systembeschreibungen, Übertragungsfunktionen, lineare und nichtlineare Regelstrecken, zeitinvariante und zeitvariante Systeme, Zweipunktregler, mathematische Systemmodelle und numerische Berechnungen tangiert und Hilfen auf ausführliche Artikel bzw. deren Kapitel gegeben.
Ein dynamisches System ist eine Funktionseinheit mit einem bestimmten Zeitverhalten und hat mindestens einen Signaleingang und einen Signalausgang. Modelle (Modellbildung) eines realen dynamischen Übertragungssystems werden mathematisch beschrieben durch:
- Differenzialgleichungen
- Übertragungsfunktion und Frequenzgang
- Zustandsraumdarstellung
- Numerische zeitdiskrete Beschreibung linearer Systeme (Differenzengleichungen) und nichtlinearer Systeme (Logische Befehle, Tabellenwerte)
Gewöhnliche Differentialgleichungen
Eine Differentialgleichung (kurz DGL) ist eine Gleichung, die eine oder mehrere Ableitungen einer unbekannten Funktion enthält. Verschiedene physikalische Probleme lassen sich mit DGL-en formal identisch darstellen.
Kommen Ableitungen nur bezüglich einer Variablen vor, spricht man von einer „gewöhnlichen Differentialgleichung“, wobei der Begriff „gewöhnlich“ bedeutet, dass die betrachtete Funktion nur von einer Veränderlichen abhängt. Mit gewöhnlichen DGL-en lassen sich viele dynamische Systeme aus Technik, Natur und Gesellschaft beschreiben.
Eine lineare DGL enthält die gesuchte Funktion und deren Ableitungen nur in der ersten Potenz. Es treten keine Produkte der gesuchten Funktion und ihrer Ableitungen auf; ebenso erscheint die gesuchte Funktion nicht in Argumenten von Winkelfunktionen, Logarithmen usw.
Entstehung einer Differentialgleichung
Eine DGL ist eine Bestimmungsgleichung für eine unbekannte Funktion. Die Lösung einer DGL ist keine Zahl, sondern eine Funktion!
Beispiel elektrischer Schwingkreis: Spannungsbilanz: Nach dem 2. Kirchhoffschen Satz ist Summe aller Spannungen einer Masche gleich Null.
Der Spannungsabfall am Widerstand R ergibt sich zu UR = i · R. Nach dem Induktionsgesetz ist die Spannung an der Induktivität UL = L · di / dt. Der Ladestrom am Kondensator ist proportional der Spannungsänderung am Kondensator i(t) = C · dy / dt.
Die Anwendung des Maschensatzes führt zunächst zu einer Differenzialgleichung 1. Ordnung:
Setzt man in die DGL für i(t):
ein, dann ergibt sich die Schwingungsgleichung:
Es können Zeitkonstanten wie T1 = R · C und T2² = L · C eingeführt werden. Ersetzt man auch die in der Systembeschreibung übliche Darstellung der Eingangsgröße u(t) und Ausgangsgröße y(t), dann lautet die bekannte DGL für einen Reihenschwingkreis:
Grundlagen der Übertragungsfunktion als Systembeschreibung
Die am häufigsten dargestellte Systembeschreibung linearer zeitinvarianter Systeme ist die Übertragungsfunktion G(s) mit der komplexen Frequenz s. Sie wird erfolgreich eingesetzt für Systemanalyse, Systemsynthese, Systemstabilität und erlaubt die algebraische Behandlung von beliebig geschalteten rückwirkungsfreien Teilsystemen.
Eine Übertragungsfunktion
beschreibt die Abhängigkeit des Ausgangssignals eines linearen,
zeitinvarianten
Systems (LZI-System)
von dessen Eingangssignal im Bildbereich
(Frequenzbereich, s-Bereich). Sie wird definiert als Quotient der
Laplace-transformierten Ausgangsgröße
zur transformierten Eingangsgröße
:
Die Laplace-Transformation ist eine Integraltransformation, mit deren
Anwendung sich eine Zeitfunktion
in eine Bildfunktion
mit der komplexen Frequenz
übertragen lässt. Die Bildfunktion lässt sich mit verschiedenen mathematischen
Methoden wieder als eine Zeitfunktion darstellen.
Dynamische zeitinvariante Systeme mit konzentrierten Energiespeichern (z.B. Feder-Masse-Dämpfer-Systeme oder elektrische L-, C- und R-Glieder) werden durch gewöhnliche Differenzialgleichungen mit konstanten Koeffizienten beschrieben. Wenn sich das System im Ruhezustand befindet, haben die Energiespeicher den Wert Null.
Zur Vereinfachung der Berechnung und zum leichteren Verständnis wird die
Differenzialgleichung einer Laplace-Transformation
unterzogen. Dabei wird nach dem Laplace-Differentiationssatz eine Ableitung 1.
Ordnung der Differenzialgleichung durch die Laplace-Variable s als komplexe
Frequenz ersetzt. Höhere Ableitungen n-ter Ordnung werden durch
ersetzt.
Beispiel einer gewöhnlichen Differenzialgleichung mit konstanten Koeffizienten:
Die Laplace-Transformierte der Differenzialgleichung lautet:
Die Koeffizienten a und b der Differenzialgleichung sind mit denen der Übertragungsfunktion identisch.
Das Ergebnis der Transformation wird nach Ordnung der Terme
des sich ergebenden Polynoms als Verhältnis der Ausgangsgröße zur Eingangsgröße
als Übertragungsfunktion
definiert. Die Übertragungsfunktion G(s) kann immer als gebrochen-rationale
Funktion geschrieben werden. Da die Übertragungsfunktion zur Beschreibung
des Eingangs- Ausgangsverhaltens verwendet wird, soll das Übertragungssystem für
eine gegebene Eingangsgröße zu einem betrachteten Zeitpunkt
eine Ausgangsgröße gleich Null aufweisen.
Faktorisierung der Übertragungsfunktion im s-Bereich
Mittels der Nullstellenbestimmung
können die Polynome der Übertragungsfunktion
in eine Produktform (Linearfaktoren)
im Zähler und Nenner gebracht werden. Die Pole (Nullstellen des Nenners)
oder Nullstellen (Nullstellen des Zählers)
sind entweder Null, reell
oder konjugiert
komplex. Die Produktdarstellung im Zähler und Nenner der
Übertragungsfunktion
ist mathematisch identisch mit der Polynomdarstellung.
Die Pole und Nullstellen der Übertragungsfunktion sind die wichtigsten Kenngrößen des Systemverhaltens.
Beispiel einer Übertragungsfunktion der Polynomdarstellung und der Zerlegung in die Pol-Nullstellen-Darstellung mit reellen Linearfaktoren:
Linearfaktoren:
- Bei Linearfaktoren 1. Ordnung sind die Nullstellen
oder Pole
reelle Zahlenwerte. Stabile Systeme enthalten negative Realteile.
- Linearfaktoren 2. Grades mit konjugiert komplexen Nullstellen oder Polen werden zur einfacheren Berechenbarkeit zu quadratischem Termen zusammengefasst, in denen nur reelle Koeffizienten auftreten.
- Linearfaktoren werden meist in die Zeitkonstanten-Darstellung durch Reziprokbildung der Nullstellen und Pole umgerechnet.
- Produktterm in der Zeitkonstanten-Darstellung mit negativem Wert der
Nullstelle
:
In der linearen Regelungstechnik ist es eine willkommene Tatsache, dass praktisch alle vorkommenden regulären (phasenminimalen) Übertragungsfunktionen bzw. Frequenzgänge von Regelkreisgliedern auf folgende drei Grundformen (Linearfaktoren) geschrieben bzw. zurückgeführt werden können. Sie haben eine völlig unterschiedliche Bedeutung, je nachdem ob sie im Zähler (differenzierendes Verhalten) oder im Nenner (verzögernd, Integrierend) einer Übertragungsfunktion stehen.
In Abhängigkeit von den Zahlenwerten der Koeffizienten a und b der Polynom-Darstellung können die Produkte folgende drei Formen in der Zeitkonstanten-Darstellung annehmen:
-
Typ Linearfaktor Bedeutung im Zähler Bedeutung im Nenner
(Nullstelle = 0)Differenzierer, D-Glied Integrator, I-Glied
(Nullstelle reell)PD-Glied Verzögerung, PT1-Glied
(Nullstellen konjugiert komplex)PD2-Glied: für 0 < D < 1 Schwingungsglied PT2-Glied: für 0 < D < 1
- Dabei ist T die Zeitkonstante, s die komplexe Frequenz, D der Dämpfungsgrad.
Die Übertragungsfunktion
eines dynamischen Übertragungssystems kann einfache und mehrfache Linearfaktoren
im Zähler und Nenner enthalten.
Definition der Variablen s
ist die unabhängige Variable im komplexen Frequenzbereich (Bildbereich, s-Bereich) mit
als Realteil und
als Imaginärteil. Sie erlaubt beliebige algebraische Operationen im s-Bereich, ist aber nur ein Symbol für eine vollzogene Laplace-Transformation und enthält keinen Zahlenwert. Exponenten von s entsprechen dem Grad der Ableitung der Differentiale.
- Zahlenwerte entstehen aus den Koeffizienten a und b der Polynomdarstellung, indem die Polynome der Übertragungsfunktion durch Nullstellenzerlegung in Linearfaktoren (Produkte) zerlegt werden. Diese Nullstellen bzw. Pole können Null, reell oder konjugiert komplex sein.
- Die Realteile
und die Imaginärteile
der Nullstellen
oder Pole
können in Abhängigkeit von den Zahlenwerten der Koeffizienten a und b auch den Zahlenwert Null aufweisen. Damit entstehen die drei Formen der Linearfaktoren z.B. im Nenner der Übertragungsfunktion mit dem Verhalten Integration, Verzögerung, Verzögerung 2. Ordnung konjugiert komplex.
Tabelle sämtlicher vorkommenden Arten der regulären Übertragungsfunktionen in Zeitkonstanten-Darstellung:
-
Übertragungsfunktion →
G(s)Übergangsfunktion →
(Sprungantwort)





Benennung → P-Glied I-Glied D-Glied PD1-Glied PT1-Glied PT2-Glied Totzeitglied
Anmerkungen zur Übertragungsfunktion
- Der große Vorteil der Beschreibung linearer dynamischer Systeme als Übertragungsfunktionen mit den Linearfaktoren besteht darin, dass nur sechs leicht einzuprägende Grundformen des Systemverhaltens existieren, die sich zu größeren Systemformen zusammensetzen können. Die transzendente Form des Totzeitgliedes gehört nicht dazu, es sei denn, es wird als gebrochen-rationale Funktion dem Totzeitglied angenähert.
- Auch im Zusammenhang mit anderen Systembeschreibungen wie die Differenzialgleichung, Differenzengleichung, Zustandsraumdarstellung und gemischten linearen und nichtlinearen Modellen ist die Benennung von Übertragungssystemen als Übertragungsfunktion von Vorteil, weil der Bekanntheitsgrad der Systemfunktion so hoch ist.
- Die Übertragungsfunktionen können beliebig als einzelne Übertragungssysteme in der Reihen- und Parallelschaltung eines Blockdiagramms zusammengefasst und algebraisch behandelt werden.
- Die dargestellten Übertragungsfunktionen mit D-Anteilen werden als „ideal“ bezeichnet. Diese Systeme lassen sich „real“ nicht ohne Kombination mit einem Verzögerungsglied (PT1-Glied) herstellen. Dabei muss die Zeitkonstante des Verzögerungsgliedes wesentlich kleiner sein, als die des D-Anteils.
- Beispiel reales PD1-Glied mit TV ≫ T:
- Die numerische Berechnung von idealen D-Anteilen funktioniert mit Hilfe der Differenzengleichungen problemlos. Es können bei der Differentiation keine unendlich großen Flanken entstehen, weil über die Zeit Δt gerechnet wird.
- Fazit: Bei der numerische Berechnung kompensiert ein ideales PD1-Glied ein PT1-Glied bei gleichen Zeitkonstanten vollständig zum Faktor 1.
- Die differenzierende Form der Übertragungsfunktion 2. Ordnung (PD2-Glied) mit konjugiert komplexen Nullstellen erlaubt bei gleichen Zeitkonstanten und gleichem Dämpfungsgrad die Kompensation des Verzögerungsgliedes 2. Ordnung mit konjugiert komplexen Polen.
- Anwendung: Vorfilter im Regelkreiseingang reduziert gedämpfte Schwingungen der Regelgröße und erlaubt damit eine höhere Kreisverstärkung.
- Die Übertragungsfunktionen
werden immer als gebrochen-rationale Funktionen geschrieben.
- Der Übertragungsfunktion eines Systems
kann die transzendente Funktion des Totzeitgliedes
multiplikativ angehängt werden zu
. Diese Form der Übertragungsfunktion als Gesamtsystem ist nur für Frequenzgang-Analysen geeignet. Beliebige algebraische Operationen mit einem Totzeitglied sind nicht erlaubt.
- Nichtreguläre Übertragungsfunktionen G(s) enthalten ein Minuszeichen in der Gleichung (= positive Nullstelle). Sie können durch eine positive Rückkopplung (= Mitkopplung) entstehen und verhalten sich monoton instabil. Durch eine beliebige Eingangserregung strebt die Ausgangsgröße eines instabilen PT1-Gliedes in Abhängigkeit von der Zeitkonstante T bis zu seiner natürlichen Begrenzung einen unendlich großen Wert an.
Beispiel der Schreibweise eines Verzögerungsgliedes 1. Ordnung mit dem Verstärkungsfaktor K:
Diese Art Gleichungen der Übertragungsfunktionen lassen sich algebraisch behandeln, gelten für lineare Systeme und beziehen sich auf zeitinvariantes Verhalten. Übertragungsfunktionen können mit beliebigen Linearfaktoren zu Regelstrecken und Regelkreisen algebraisch zusammengesetzt werden, solange kein Totzeitsystem enthalten ist. Ist ein Eingangssignal U(s) als Testsignal gegeben, kann mittels Transformationstabellen das Zeitverhalten des Ausgangssignals y(t) errechnet werden.
Übertragungsfunktionen als Blockstruktur im Signalflussplan
Übertragungssysteme können aus Teilsystemen als Blöcke zusammengefasst werden. Es gilt das Superpositionsprinzip. Die Systeme in Produktdarstellung können in der Reihenfolge beliebig verschoben werden. Die Systemausgänge dürfen nicht durch nachfolgende Systemeingänge belastet werden (Rückwirkungsfreiheit).
- Parallelschaltung:
- Gleichung der Übertragungsfunktion der Parallelschaltung:
- Reihenschaltung:
- Gleichung der Übertragungsfunktion der Reihenschaltung:
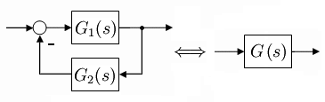
- Gegenkopplung oder Rückkopplung:
- Gleichung der Übertragungsfunktion der Gegenkopplung:
-
- Bei einem Regelkreis, der in dem Gegenkopplungszweig kein statisches oder dynamisches Teilsystem enthält, wird das System G2(s) = 1.
- Damit lautet die Übertragungsfunktion des geschlossenen Regelkreises:
-
- Eine Mitkopplung ist eine positive additiv wirkende Rückführung des Signalausgangs auf den System-Eingang. Sie führt je nach Größe der Verstärkung von G1(s) zur monotonen Instabilität oder zu einem Hysterese-Effekt.
-
- Gleichung der Übertragungsfunktion der Mitkopplung:
-
- Mit G1(s) als offener Regelkreis werden beliebige algebraische Zusammenführungen der Teilsysteme des Reglers und der Regelstrecke verstanden.
Lineare Regelstrecken
Lineare Systeme sind dadurch gekennzeichnet, dass der sogenannte Überlagerungssatz und der Verstärkungssatz gelten. Der Überlagerungssatz sagt aus, dass, wenn das System mit den Zeitfunktionen f1(t) und f2(t) gleichzeitig erregt wird, auch die Systemantwort aus einer Überlagerung der Systemantwort von f1(t) und der Systemantwort von f2(t) gebildet wird.
Das Verstärkungsprinzip bedeutet, dass bei doppelter Amplitude der Eingangsfunktion die Systemantwort ebenso doppelt so groß ist.
Natürliche lineare Regelstrecken enthalten oft verzögernde, integrierende und mit Totzeit behaftete Teilsysteme.
Ein elektrischer Widerstands-Kondensator Tiefpass 1. Ordnung im rückwirkungsfreien Zustand mit der Zeitkonstante T = R·C wird durch folgende Übertragungsfunktion beschrieben:
Verzögerungsgliedes 1. Ordnung (PT1-Glied):
Für die Berechnung des Zeitverhaltens von Übertragungssystemen G(s) mit der Übertragungsfunktion müssen die Eingangssignale (Testsignale) im s-Bereich definiert werden.
Für die Berechnung der Sprungantwort eines Systems im Zeitbereich lautet der normierte Sprung 1(t) als Laplace-transformiertes Test-Eingangssignal U(s) = 1 / s.
Die Gleichung zur Berechnung des Zeitverhaltens des PT1-Gliedes kann direkt aus den Laplace-Transformations-Tabellen abgelesen werden:
Gesuchte Funktion im s-Bereich:
Zugehörige Funktion im Zeitbereich:
Der Faktor K unterliegt nicht der Transformation und ist deshalb im s-Bereich wie auch im Zeitbereich gültig.
Wird die korrespondierende Zeitfunktion einer Übertragungsfunktion in Zeitkonstanten- oder Nullstellen-Darstellung in den Transformationstafeln ohne das Laplace-transformierte Eingangssignal gesucht, ist das Ergebnis immer die Impulsantwort des Systems.
Lineare Regelstreckenarten
Die Zeitkonstante T besagt für ein Verzögerungsglied 1. Ordnung, dass ein Ausgangssignal nach einem Sprung eines Eingangssignals ca. 63 % des Wertes des Eingangssignals erreicht hat und sich der Signalverlauf asymptotisch – nach ca. 3 bis 4 Zeitkonstanten – an den Maximalwert des Eingangssignal annähert.
- Ein Verzögerungsglied 1. Ordnung (PT1-Glied) verhält sich zeitinvariant, wenn für ein ansteigendes (Sprung) oder abfallendes (Rücksprung) Eingangssignal u(t) das Zeitverhalten (Zeitkonstante) sich nicht ändert. Dies erklärt sich aus der zugehörigen gewöhnlichen Differenzialgleichung mit konstanten Koeffizienten.
- Ein Verzögerungsglied 2. Ordnung mit konjugiert komplexen Polen, z.B. ein gedämpftes Feder-Masse-System, wird als Schwingungsglied bezeichnet. Die Sprungantwort nähert sich je nach Dämpfungsgrad D mit ausklingender Schwingung dem maximalen Wert der Eingangsgröße an.
- Eine Regelstrecke mit mehreren PT1-Gliedern bezeichnet man als Regelstrecke mit Ausgleich, auch als globales (proportionales) P-Verhalten.
- Eine Regelstrecke mit mehreren PT1-Gliedern und einem I-Glied bezeichnet man als Regelstrecke mit globalem I-Verhalten.
- Eine totzeitbehaftete Regelstrecke mit Verzögerungsgliedern kann nicht beliebig algebraisch berechnet werden. Es sei denn, die Totzeit wird annäherungsweise als gebrochen-rationale Funktion mit Verzögerungsgliedern definiert.
Vorteil der Systembeschreibung mit Übertragungsfunktionen (ohne Totzeitverhalten)
- Einfache algebraischen Berechnung beliebiger Systemverknüpfungen aller Einzelsysteme möglich
- Regelkreisglieder des Reglers und der Regelstrecke der offenen Kreises können zu einem Regelkreis geschlossen werden. Die sich daraus ergebenden Polynome können in Pole und Nullstellen zerlegt werden und wieder als faktorielle Grundglieder (Linearfaktoren) meist in Zeitkonstanten-Darstellung geschrieben werden.
- Sämtliche Systemeigenschaften lassen sich aus der Pol-Nullstellendarstellung ablesen.
- Mit den grafischen Methoden „Ortskurve des Frequenzgangs“ und dem „Stabilitätskriterium von Nyquist“ lässt die Stabilität des geschlossenen Regelkreises anhand der Einzelsysteme G(s) des offenen (aufgeschnittenen) Regelkreises bestimmen.
- Für ein bekanntes Laplace-transformiertes Test-Eingangssignal wie die Sprung- oder Stoßfunktion kann über die Anwendung von Laplace-Transformationstabellen das Zeitverhalten eines Einzelsystems oder eines Regelkreises berechnet und grafisch dargestellt werden.
- Reglerentwurf
- Regelstrecken können vereinfacht werden, wenn durch PD1-Glieder des Reglers Verzögerungsglieder (PT1-Glieder) kompensiert werden.
Übertragungsfunktion und Frequenzgang
Die Übertragungsfunktion ist eine nicht messbare Funktion des Verhältnisses
der Laplace-transformierten Ausgangsgröße zur Eingangsgröße. Sie kann jederzeit
in den Frequenzgang bei
identischen Koeffizienten (Zeitkonstanten) überführt werden.
Der Frequenzgang
ist ein Spezialfall der Übertragungsfunktion.
Im Gegensatz zur Übertragungsfunktion kann der Frequenzgang eines linearen Übertragungssystems gemessen werden, indem ein sinusförmiges Eingangssignal konstanter Amplitude mit variabler Frequenz das unbekannte System erregt und die Ausgangsgröße aufgezeichnet wird. Die Entstehungsgeschichten des Frequenzgangs und der Übertragungsfunktion sind unterschiedlich, die Schreibweisen können identisch bleiben.
Mit den grafischen Methoden „Ortskurve des Frequenzgangs“ und dem „Stabilitätskriterium von Nyquist“ kann auch das Totzeitverhalten eines Teilsystems behandelt werden, weil diese Verfahren sich auf den offenen Regelkreis beziehen.
Zeitinvariante und zeitvariante Regelstreckenkomponenten
Beispiel Gebäudeheizung: In einem geheizten Gebäude fließt der erzeugte Wärmestrom vom Heizkörper über die Raumluft zu den Gebäudewänden über die Dämmungen an die Außenwitterung. Die verschiedenen Wärmeströme zwischen den Massen und zugehörigen Dämmungen haben je ein bestimmtes Zeitverhalten, das für eine Analyse der gesamten Regelstrecke zu definieren ist.
Zeitinvarianz
Bei den bisher dargestellten dynamischen Systemen handelt es sich um zeitinvariante Systeme mit konzentrierten Energiespeichern.
Ein dynamisches Übertragungssystem ist zeitinvariant, wenn es sich über die Zeit nicht ändert. d.h. die Systemantwort y(t+t0) auf ein identisches Eingangssignal u(t+t0) ist von t0 unabhängig. Die Koeffizienten der mathematischen Systembeschreibung sind konstant (zeitlich unveränderlich, invariant).
Ein zeitinvariantes Verzögerungsglied (PT1-Glied) verhält sich für einen Signaleingangssprung wie auch für den Signalrücksprung identisch, d.h. es strebt immer asymptotisch beim Ansprung den Maximalwert oder beim Rücksprung den Anfangswert mit gleicher Zeitkonstante an.
Zeitvarianz
Für die Beschreibung eines dynamischen Systems z.B. bei einem Wärmestrom in einem homogenen Materialstoff (Wasser, Luft, Stein) handelt es sich um ein System mit räumlich verteilten Energiespeichern.
Ein zeitvariantes System verhält sich zu verschiedenen Zeitpunkten unterschiedlich. Bei technischen Systemen liegt der Grund dafür meist in zeitabhängigen Parameterwerten, zum Beispiel durch Änderung der Koeffizienten der Energiespeicher [zeitabhängige Koeffizienten der Ableitungen y(t)].
Bei vielen Prozessen sind die Auswirkungen der Zeitvarianz so klein oder langsam, dass diese Systeme näherungsweise als zeitinvariant behandelt werden können.
Die den Übertragungsfunktionen zugehörigen gewöhnlichen Differenzialgleichungen haben konstante Koeffizienten. Konstante Koeffizienten bedeuten, dass sich das Zeitverhalten des Systems nicht ändert. Wird z.B. das Zeitverhalten einer beschleunigten Masse beschrieben und es handelt sich um eine beschleunigte Rakete, die ihre Masse ändert, so handelt es sich um einen zeitvarianten Vorgang.
Mathematisches zeitvariantes Modell des Wärmeflusses in einem homogenen Medium z.B. Luft
Das Übertragungsverhalten eines Signalsprungs in einem räumlichen homogenen Medium (Materialstoff) zeigt sich in seinem zeitlichen Verhalten zwischen zwei Messpunkten angenähert als Verzögerungsglied 1. Ordnung mit einer Totzeit und unterschiedlichen Zeitkonstanten.
Das mathematische Modell für den Wärmefluss in einem homogenen Medium lässt
sich nach der Aufzeichnung der Sprungantwort durch ein einfaches Modell mit
einem PT1-Glied und einem Totzeitglied annähern. Die Parameter der Ersatztotzeit
und der Ersatzzeitkonstanten
können anhand eines aufzuzeichnenden Messprotokolls experimentell bestimmt
werden.
Für eine Gebäudeheizung wird berücksichtigt, dass die Aufheizung des Kessels schnell und die Abkühlung wegen der Wärmedämmungen langsam erfolgt. Das Gleiche gilt für den Energieabfluss vom Heizkörper an die Raumluft und über die Wände an die Außenwitterung. Solche Systeme verhalten sich zeitvariant, d.h. für einen Signalsprung hat das System eine andere Zeitkonstante als für einen Signal-Rücksprung. Je besser die Dämmung eines aufgeheizten Mediums ist, umso unterschiedlicher sind die Zeitkonstanten für die Aufheizung (klein) und der Wärmeabfluss (groß).
Falls die Darstellung der Totzeit mit dem Rechenprogramm Probleme bereitet, kann die dargestellte Modellgleichung auch praktisch identisch durch eine sehr gute Annäherung mit Ersatztotzeiten durch z.B. n = 3 PT1-Glieder wie folgt dargestellt werden:
Nichtlineares Übertragungssystem
Die lineare Systemeigenschaft ist häufig nicht gegeben, da viele zusammenwirkende Systeme z.B. in der Regelungstechnik bei Ventil-Kennlinien, Stellgrößenbegrenzungen oder Schaltvorgängen keine Linearität aufweisen.
Ein nichtlineares System kann entweder in Form nichtlinearer statischer Kennlinien oder in Form nichtlinearer Operationen wie Multiplikation oder Division von Variablen in algebraischen Gleichungen und Differentialgleichungen auftreten.
Ein nichtlineares dynamisches System 2. Ordnung entsteht beispielsweise durch ein Feder-Masse-Dämpfer-System, wenn das Federsystem oder der Dämpfer ein nichtlineares Verhalten hat. Anhand der Vielzahl der Formen nichtlinearer Systeme ist es schwierig, diese in bestimmte Klassen einzuordnen. Nichtlineare Systeme kann man als einzigartig einstufen.
Bei nichtlinearen Übertragungssystemen wirkt mindestens eine nichtlineare Funktion in Verbindung mit linearen Systemen. Diese nichtlinearen Funktionen werden nach stetigen und unstetigen Nichtlinearitäten unterschieden. Stetige Nichtlinearitäten weisen keine Sprünge der Übertragungskennlinie auf wie z.B. bei quadratischem Verhalten. Unstetige Übertragungskennlinien wie bei Begrenzungen, Hysterese, Ansprechempfindlichkeit, Zwei- und Mehrpunkt-Charakter haben keinen kontinuierlichen Verlauf.
Das Prinzip der Superposition gilt nicht bei nichtlinearen Übertragungssystemen.
Folgende Beziehungen ergeben sich bei nichtlinearen Systemen:
- Wird ein nichtlineares Übertragungssystem in einem festen Arbeitspunkt betrieben, dann kann das nichtlineare Verhalten des Systems durch ein lineares Modell für die nähere Umgebung des Arbeitspunktes ersetzt werden.
- Jeder nichtlineare Zusammenhang kann im Kleinsignalverhalten näherungsweise linear beschrieben werden. Die Näherung wird umso besser, je kleiner der Differenzenquotient y(t) zu u(t) am Arbeitspunkt ist.
- Ist eine nichtlineare Funktion als grafische Kennlinie gegeben, dann kann durch Anlegen einer Tangente im gewünschten Arbeitspunkt die Steigung der Tangente für die linearisierte Beziehung bestimmt werden
- Ein nichtlineares dynamisches System mit kontinuierlich fallender oder steigender Kennlinie kann auch durch Einbindung in einen eigenen Regelkreis linearisiert und damit auch in seinem dynamischen Verhalten verbessert werden.
- Nichtlineare Differenzialgleichungen lassen sich meist nur numerisch lösen. Wenn ein Übertragungssystem in Teilsysteme zerlegt werden kann und das nichtlineare Verhalten einzelner Systeme als analytische Gleichung oder Wertetabelle vorliegt, kann relativ einfach das Verhalten eines nichtlinearen dynamischen Systems berechnet werden.
- Das Zusammenwirken von unstetigen, nichtlinearen, statischen Systemen mit linearen Systemen zu Regelkreisen kann mit dem grafischen Verfahren der Harmonischen Balance optimiert werden. Die Anwendung der Harmonischen Balance zur Analyse von nichtlinearen Regelkreisen mit dem anschaulichen Zwei-Ortskurven-Verfahren zeigt, wann Dauerschwingungen auftreten und wie sich Dauerschwingungen vermeiden lassen.
- Flachheitsbasierte Systeme
- Flachheit in der Systemtheorie ist eine Systemeigenschaft, die den Begriff der Steuerbarkeit linearer Systeme auf nichtlineare Systeme ausweitet. Ein System, das die Flachheitseigenschaft besitzt, heißt flaches System.
- Die Flachheitseigenschaft ist für die Analyse und Synthese nichtlinearer dynamischer Systeme nützlich. Sie ist besonders vorteilhaft für die Trajektorienplanung und asymptotische Folgeregelung nichtlinearer Systeme.
Grundlagen der numerischen Berechnung von dynamischen Übertragungssystemen
Relativ einfache Übertragungssystem-Strukturen mit nichtlinearen Elementen sind durch konventionelle Rechenmethoden im kontinuierlichen Zeitbereich nicht mehr geschlossen lösbar. Mit handelsüblichen Personal-Computern kann das Verhalten beliebig vermaschter Systemstrukturen mittels numerischer Berechnung relativ einfach ermittelt werden.
Für die Durchführung der Berechnung von Übertragungssystemen oder der Simulation von Regelkreisen bieten sich käufliche Rechenprogramme an. Mit den bekannten Programmen wie MATLAB und Simulink stehen umfangreiche Befehlssätze für die theoretische Modellierung von dynamischen Systemen und vielen speziellen regelungstechnischen Befehlen zur Verfügung.
Alternativ können mit selbst erstellten beliebigen Rechenprogrammen bei Anwendung von Differenzengleichungen in Verbindung mit logischen Operatoren sehr effiziente Regelkreis-Simulationen durchgeführt werden. Dabei sind relativ geringe mathematische Kenntnisse erforderlich.
Treten Begrenzungseffekte im Regler oder Totzeitsysteme in der Regelstrecke auf, oder der Regler hat nichtlineare Eigenschaften wie der Zweipunktregler, kann das zeitliche Verhalten des Regelkreises nur numerisch mit der diskreten Zeit Δt berechnet werden. Auch die Berechnung von dynamischen Systemen mit dem Verfahren der Zustandsraumdarstellung ist mit einem Totzeitsystem nicht ohne numerische Berechnung möglich.
Die numerische Berechnung erlaubt tabellarisch und grafisch eine völlige Durchsicht des inneren Bewegungsablaufs dynamischer Übertragungssysteme. In Verbindung mit logischen Programmbefehlen und Wertetabellen lassen sich nichtlineare, begrenzende und totzeitbehaftete Systeme simulieren.
Methode der numerischen Berechnung
Werden die Differenziale der Ausgangsgröße y(t) einer Differenzialgleichung
durch kleine Differenzenquotienten
mit
als diskretisierte Zeit ersetzt, entsteht eine numerisch lösbare
Differenzengleichung
in Annäherung an die Differenzialgleichung. Zweckmäßig ist die Umwandlung
linearer Elementarsysteme (Übertragungsfunktionen wie I-, PT1-, D-, PD1-Glieder)
in Differenzengleichungen. Diese können je nach Lage der Funktionsblöcke im
Signalflussplan mit nichtlinearen Systemen oder Systemen mit Totzeit und deren
numerischen Berechnungsmethoden rekursiv behandelt werden.
Differenzengleichungen oder eine Kette von Differenzengleichungen, die
mehrere hintereinander geschaltete Elementarsysteme beschreiben, lassen die
Ausgangsgröße
algebraisch für einen kleinen Zeitschritt
in Abhängigkeit vom Eingangssignal
errechnen. Die numerische Gesamtlösung des Systems erfolgt – bei einfachen
Differenzengleichungen – rekursiv
über viele Berechnungsfolgen in je kleinen konstanten Zeitintervallen. Die Form
der Gesamtlösung ist damit tabellarisch. Alle Zeilen enthalten die gleichen
Differenzengleichungen der Berechnungsfolge
,
alle Spalten berechnen die Folgen
.
Die Zeile mit
ist Anfangswerten vorbehalten. Der gesamte betrachtete Zeitraum der numerischen
Lösung beträgt
.
Die Ausgangsgröße
folgt in Amplituden-Stufen im zeitlichen Abstand Δt einer jeden
Berechnungsfolge.
Differenzengleichungen linearer Systeme
Mit Hilfe der Systembeschreibungen als Übertragungsfunktionen G(s) ist die
Anzahl der wenigen verschiedenen Elementarsysteme (Linearfaktoren im Zähler und
Nenner der Übertragungsfunktion) festgelegt. Dafür existieren aus den
zugehörigen systembeschreibenden Differenzialgleichungen die daraus abgeleiteten
Differenzengleichungen.
Die einfachsten Differenzengleichungen entstehen
nach dem „Eulerschen
Streckenzugverfahren“ (auch Rechteckverfahren). Andere Methoden bedienen sich
zur besseren Approximation z.B. an Stelle des Rechteck-Verfahrens (Explizites
Eulerverfahren) des Trapezflächenverfahrens (Heun-Verfahren),
des Mehrschrittverfahrens (Runge-Kutta-Verfahren)
und anderer Verfahren.
Grund der aufwendigeren Approximationsverfahren ist
die erzielbare höhere Genauigkeit und damit Reduzierung der Rekursionsfolgen,
was bei langsamen Rechnern bei Echtzeitberechnungen erforderlich sein kann.
Mit der nachfolgenden Aufstellung der Differenzengleichungen der
Übertragungsglieder G(s) erster Ordnung lassen sich alle linearen Systeme
höherer Ordnung – auch Systeme mit konjugiert komplexen Polen – nachbilden.
Differenzengleichungen lassen sich mit jeder Programmiersprache anwenden.
Empfohlen wird die Verwendung der Tabellenkalkulation, weil Programmfehler damit
ausgeschlossen sind.
Zugehörige Differenzengleichungen von Übertragungssystemen G(s) erster Ordnung:
| Elementarsysteme | P-Glied | I-Glied | D-Glied | PD1-Glied | PT1-Glied |
|---|---|---|---|---|---|
| Übertragungsfunktion | |||||
| Differenzengleichungen |
(Mit K = Verstärkungsfaktor,
= aktuelle Ausgangsgröße,
= vorherige Ausgangsgröße, T = Zeitkonstante,
= aktuelle Eingangsgröße)
Nichtlineare statische Systeme
Die tabellarische Form der numerischen Lösung erlaubt auch die Berechnung
nichtlinearer statischer Systeme, indem die nichtlineare Beziehung als
Wertetabelle der Tabellenspalte der Berechnungsfolge k zugeordnet
wird. Ebenso ist die Berechnung der Totzeit eines Systems durch Verschiebung der
Zeilen mit geeigneten Programmbefehlen möglich.
Bei nichtlinearen Systemen
wie dem unstetigen statischen Mehrpunktregler besteht die numerische
Beschreibung aus einfachen nichtlinearen Gleichungen. Die logische Beschreibung
kann mit der WENN-DANN-SONST-Anweisung erfolgen.
Nichtlineare unstetige
statische Kennlinien, die nicht über analytische Gleichungen beschrieben werden
können, lassen sich als Wertetabellen innerhalb der Gesamttabelle einfügen.
Die numerische Berechnung nichtlinearer Funktionen ist auch bei statischen
Systemen ohne Zeitverhalten anwendbar, wenn z.B. das Intervall auf die
Systemeingangsgröße
bezogen wird.
Anwendung der numerischen Berechnung
- Simulation dynamischer Systeme
- Häufig interessiert bei einer Regelung zur Erkennung der Regeleigenschaften das Verhalten der Regelgröße durch eine sprunghafte Änderung des Sollwertes. Ebenso interessiert das Verhalten der Regelgröße bei einer sprunghaften oder stetigen Änderung einer Störgröße. Übliche Systemtests von beliebigen physikalischen Regelgrößen von Regelkreisen beziehen sich auf ein Eingangssignal z.B. bei einer Sollwertänderung für einen bestimmten Zeitpunkt auf ein sprungartiges, normiertes Eingangssignal von Null bzw. von der Ruhelage nach 1 = 100 %. Analysiert wird das Verhalten der Sprungantwort, ob es sich in den gewünschten Grenzen bewegt.
- Mit der Simulation eines mathematischen Modells eines Übertragungssystems
bzw. eines Regelkreises ergibt sich die Möglichkeit, mit geeigneten
Testsignalen eine Systemanalyse oder eine Systemoptimierung durchzuführen.
Der Vorteil der Simulation an einem Modell liegt auf der Hand. Es werden keine technischen Anlagen gefährdet bzw. benötigt. Der Zeitfaktor spielt keine Rolle, es können sehr schnelle oder sehr langsame Prozesse optimiert werden. Voraussetzung ist die mathematische Beschreibung eines gut angenäherten Modells der meist technischen Regelstrecke.
Zur numerischen Berechnung des Zeitverhaltens regelungstechnischer Anlagen mit Totzeit existieren bezüglich der Analyse und Optimierung von Systemen bei Anwendung kommerzieller Programme oder einfacher Programme mit Differenzengleichungen keine anderen Alternativ-Verfahren.
- Digitale Regelung online
- Bei Echtzeitberechnungen, beispielsweise mit einem programmierbaren
digitalen Regler, der auf eine Hardware-Regelstrecke wirkt, wird die
Diskretisierungszeit ∆t durch die „Abtastzeit“ (häufig
TA) ersetzt, mit der die meist analogen Eingangs- und
Ausgangssignale der Regelstrecke über Analog-Digitalwandler erfasst werden.
Der Abtastung der Eingangs- und Ausgangssignale ist üblicherweise ein
Halteglied (Sample-and-Hold-Verfahren) nachgeschaltet, so dass ein gestufter
Verlauf der Eingangs- und Ausgangssignale entsteht.
Bei schnellen Regelstrecken spielen die Systemgeschwindigkeiten des Rechners, der A/D-Wandler, die Sample-and-Hold-Schaltung, wie auch die verwendeten Differenzengleichungen beziehungsweise deren Approximations-Algorithmen eine große Rolle.
- Anfangswerte der inneren Energiespeicher eines dynamischen Systems
- Anfangswerte eines dynamischen Systems bedeuten, dass die inneren
Systemspeicher zum Zeitpunkt t0 nicht den Wert Null haben. Mit
Differenzengleichungen von dynamischen Systemen kann auch der Anfangswert der
Ausgangsgröße y(t) bzw. y(k·Δt) berechnet werden, indem alle Verzögerungen den
gleichen Anfangswert bekommen.
Für die Berechnung der Anfangswerte y0 von Ableitungen von y(t) (z.B.) ist die direkte Anwendung einer Differenzengleichung einer Reihenschaltung von Verzögerungsgliedern nicht brauchbar. Das Ergebnis wäre die partikuläre Lösung für Anfangswerte = Null. Derartige Berechnungen mit Anfangswerten können nach der Regelungsnormalform des Zustandsraumes mittels Differenzengleichungen erfolgen.
- Ein Zustandsraummodell symbolisiert die überführte Differenzialgleichung
n-ter Ordnung in n-gekoppelte Zustands-Differentialgleichungen erster
Ordnung.
Die Zustandsvariablen beschreiben physikalisch den Energiegehalt der in einem dynamischen System enthaltenen Speicherelemente.
Die numerische Berechnung bezieht sich dabei auf den Signalflussplan der Regelungsnormalform des Zustandsraumes. Die systembeschreibende Differenzialgleichung wird in expliziter [geordneter, nach der höchsten Ableitung y(t)] Darstellung in ein Signalflussdiagramm gebracht, wobei die Anzahl der Ableitungen von y(t) die Anzahl der Integratoren bestimmen. Die Regelungsnormalform ähnelt signaltechnisch der elektrischen Schaltung eines Analogrechners zur Lösung einer Differenzialgleichung mit Anfangswerten.
Die Integratoren der Regelungsnormalform werden auf die gewünschten Anfangswerte gesetzt. Die System-Ausgangsgröße y(t) entspricht immer der Addition der homogenen und partikulären Lösung der systembeschreibenden Differenzialgleichung.
Berechnung eines linearen dynamischen Systems mit und ohne Anfangsbedingungen
In der Regelungstechnik werden häufig Übertragungssysteme durch Aufzeichnung der Sprungantwort der Ausgangsgröße gegenüber dem Wert Null bzw. einer Ruhelage analysiert. Dabei wird meistens vorausgesetzt, dass sich das System in Ruhe befindet. Es gibt aber Anwendungen, bei denen die Speicher „Anfangswerte“ haben oder das System bei Anfangswerten getestet werden soll, um spezielle Aussagen zu treffen.
Anfangsbedingungen können sich auf Werte von Signalen beziehen, mit denen ein
dynamischer Prozess gestartet wird. Sind als Anfangsbedingungen die Werte der
inneren Systemspeicher eines dynamischen Systems gemeint, dann handelt es sich
um ein sogenanntes Anfangswertproblem.
Ist die Übertragungsfunktion
bekannt, kann durch die inverse Laplace-Transformation auf die zugehörige
gewöhnliche Differenzialgleichung geschlossen werden.
Klassische, analytische Lösung einer gewöhnlichen
Differenzialgleichung
- Die partikuläre Lösung der Differenzialgleichung beschreibt das Übertragungsverhalten von y(t) für u(t) ≠ 0 als erzwungene Bewegung. Lösungen für Differenzialgleichungen g(t) sind durch das Faltungsintegral oder bei Übertragungsfunktionen G(s) durch Anwendung der Laplace-Transformationstabellen möglich.
- Die homogene Lösung der Differenzialgleichung beschreibt das
Systemverhalten mit Anfangswerten der Systemspeicher zum Zeitpunkt t =
0 und dem Eingangssignal u(t) = 0. Mit dem Lösungsansatz
ergibt sich ein universelles Lösungsverfahren, das bei Systemen > 2. Ordnung sehr schwierig werden kann. Die homogene Lösung der Differenzialgleichung ist Null, wenn alle Anfangsbedingungen von y(t) und deren Ableitungen y(0) = 0 sind.
- Die Gesamtlösung y(t) ist die Addition der beiden Teillösungen.
Numerische Lösung einer gewöhnlichen Differenzialgleichung
Die
numerische Lösung einer gewöhnlichen Differenzialgleichung eines dynamischen
Systems bezieht sich im einfachsten Fall auf die rekursive Berechnung der
zugehörigen Differenzengleichung, die aus der Differenzialgleichung des Systems
g(t) oder aus der Laplace-Übertragungsfunktion G(s) gewonnen wird. Die
numerische Lösung einer Differenzialgleichung mit Differenzengleichungen ohne
und mit Anfangswerten ist immer die Gesamtlösung.
Liegen Anfangswerte der Ableitungen
vor, sind zur Lösung des System-Übertragungsverhaltens die
Differenzengleichungen, die die einzelnen Elementarsysteme beschreiben, nicht
geeignet. Stattdessen wird die systembeschreibende Differenzialgleichung in die
explizite Darstellung der höchsten Ableitung (
)
gebracht und in den Signalflussplan der Regelungsnormalform der
Zustandsraumdarstellung übertragen. Zur Berechnung der zeitabhängigen Systeme
wird nur die Differenzengleichung der Integration benötigt.
Berechnungsbeispiel einer gewöhnlichen Differenzialgleichung 2. Ordnung
mit Anfangswerten
Anfangswerte für gewöhnliche Differenzialgleichungen
können mit der Zustandsraumdarstellung
relativ einfach erklärt werden. Aus der Zustandsraumdarstellung werden die
Zustandsgrößen [Zustandsvektor ]
der Differenzialgleichung für die Ausgangsgröße
und jede weitere Ableitung von
bezeichnet. In der Regelungsnormalform
sind die Zustandsgrößen
die Ausgangsgrößen von Integratoren, die mit Anfangswerten voreingestellt werden
können.
- Die systembeschreibenden gewöhnlichen Differenzialgleichungen mit und ohne Anfangsbedingungen können mit Hilfe der grafischen Darstellung der Regelungsnormalform der Zustandsraumdarstellung gelöst werden. Die Regelungsnormalform entspricht auch im Prinzip dem Signalflussplan des Analogrechners zur Lösung von gewöhnlichen Differenzialgleichungen.
- Die Integratoren für die Berechnung der Zustandsvariablen
werden auf die gewünschten Anfangswerte gesetzt. Die Funktion
ist die Lösung der Differenzialgleichung.
- Die systembeschreibenden gewöhnlichen Differenzialgleichungen – ohne
Anfangswerte der Ableitungen – aber mit einem Anfangswert der Ausgangsgröße
y(t) können besonders einfach mit Differenzengleichungen numerisch gelöst
werden. Der Anfangswert ist auf die Ausgangsgröße y(t) mit
beschränkt. Jede Differenzengleichung von Verzögerungsgliedern startet nicht von Null, sondern von einer Ruhelage, bei Temperaturwerten z.B. von 20 °C. Der Signalflussplan der Regelungsnormalform wird dazu nicht benötigt.
Berechnung der Sprungantwort von zwei PT1-Gliedern in Reihenschaltung
Gegeben: Übertragungsfunktion:
Allgemeine Form der systembeschreibenden DGL 2. Ordnung (Rückbildung nach dem Differentiationssatz):
Zugehörige systembeschreibende Differenzialgleichung in expliziter Darstellung (geordnet nach der freigestellten höchsten Ableitung y(t)):
Die systembeschreibende Differenzialgleichung in expliziter Darstellung wird nur bei gegebenen Anfangswerten benötigt.
Fall 1: Berechnung mit Differenzengleichungen ohne Anfangswerte
- Anfangswerte der Energiespeicher (Integratoren):
,
, Verstärkungsfaktor KPT1 = 1.
Da keine Anfangswerte gegeben sind, können für ein lineares Übertragungssystem die zugehörigen Differenzengleichungen für die zwei PT1-Glieder verwendet werden. Die erste Zeile der Berechnungsfolge k = 0 fürbleibt – wegen der Ruhelage Null – leer.
- Zugehörige Differenzengleichung für ein PT1-Glied zur Berechnung der
Ausgangsgröße
ohne Anfangswerte nach Fall 1 lautet:
- Die numerische Berechnung der zwei in Reihe geschalteten PT1-Glieder erfolgt tabellarisch durch Aufstellen einer Berechnungszeile aller Gleichungen.
- Eingangsgröße
ist eine normierte Sprungfunktion 1 für t > 0.
- y(k) ist der aktuelle Wert der Ausgangsgröße einer numerischen Gleichung.
- y(k-1) ist der um eine Folge k - 1 zurückliegende Wert der Ausgangsgröße y(k).
- Diese Berechnungszeile wird je nach gewünschter Genauigkeit unter Angabe
der Zeitkonstanten T rekursiv 100- bis 1000-mal berechnet.
in Kurzform
ist ein Wert der Ausgangsgröße y(t) einer beliebigen Folge k eines bestimmten Zeitpunktes
.
- Die diskretisierte Zeit Δt muss wesentlich kleiner sein als die Zeitkonstanten. Die Berechnung erfolgt tabellarisch rekursiv für kMAX Folgen.
Fall 2: Berechnung mit Differenzengleichungen, ein Anfangswert für y(t)
- Anfangswerte der Energiespeicher (Integratoren):
und
. Verstärkungsfaktor KPT1 = 1.
- Für den Anfangswert in
wird in beiden Differenzengleichungen für die erste Berechnungsfolge k = 0 der Ausdruck y(k-1) für beide PT1-Glieder der gegebene Anfangswert
gesetzt.
- Die numerische Berechnung erfolgt in gleicher Weise wie bei dem Beispiel: Fall 1.
Fall 3: Numerische Berechnung mit der Regelungsnormalform der Zustandsraumdarstellung
- Numerische Berechnungsmethode zur Lösung von Differenzialgleichungen mit mehreren Anfangswerten.
- Anfangswerte der Energiespeicher (Integratoren):
und
.
Verstärkungsfaktor KPT1 = 1. - Die explizite Darstellung der systembeschreibenden Differenzialgleichung
wird in einen grafischen Signalflussplan der Regelungsnormalform umgeformt, der auch einer Analogrechenschaltung zur Lösung von Differenzialgleichungen entspricht. Die numerische Berechnung bezieht sich auf eine algebraische Umsetzung sämtlicher Komponenten des Signalflussplanes.
- Die Regelungsnormalform enthält als zeitabhängige Systeme anstelle der
zwei PT1-Glieder nur zwei I-Glieder in Zustandsrückführung. Die Ausgänge der
Integratoren werden mit den Differenzengleichungen des I-Gliedes berechnet. In
der ersten Berechnungsfolge
werden einmalig für die Integratoren die beiden Anfangswerte gesetzt:
und
.
- Zugehörige Differenzengleichung für ein I-Glied:
- Die numerische Berechnung der Regelungsnormalform für ein Differenzialgleichungssystem mit zwei in Reihe liegenden Integratoren mit Anfangswerten erfolgt durch Aufstellen einer Berechnungszeile aller Gleichungen. Diese Berechnungszeile wird je nach gewünschter Genauigkeit rekursiv 100- bis 1000-mal berechnet.
Regelkreisentwurf
Der Entwurf einer Reglung – die Verbindung eines geeigneten Reglers mit der Regelstrecke zu einem geschlossenen Kreis – ist die eigentliche Aufgabe der Regelungstechnik.
Häufige Anwendungen der Regelung physikalischer Größen
Nachfolgende Auflistung nennt unabhängig von konkreten Anwendungen einige physikalische bzw. chemische Größen, die typischerweise als Regelgrößen auftreten.
- Temperaturregelung
- Druck- und Kraftregelung
- Durchfluss- und Mengenregelung
- Füllstandsregelung
- Lage-, Positions-, und Entfernungsregelung
- Geschwindigkeits- und Beschleunigungsregelung
- Drehzahl- und Drehmomentregelung
- Regelung chemischer Größen, wie Konzentrationen, in der Verfahrenstechnik
Grundlagen des Regelkreises
In einem einfachen Regelkreis zur Regelung beliebiger physikalischer Größen bestimmt die Größe des Sollwertes und das Zeitverhalten der Regelstrecke in Verbindung mit dem Zeitverhalten des angepassten Reglers den zeitlichen Verlauf der Regelgröße.
Die Aufgabe des Reglers besteht gewöhnlich darin, die Regelgröße der Führungsgröße möglichst gut anzunähern und den Einfluss von Störgrößen zu minimieren.
Ein stabiler Regelkreis kann bei Parameteränderungen des Reglers oder der Regelstrecke instabil werden, selbst wenn die einzelnen Bestandteile des Regelkreises für sich genommen stabil sind. Andererseits kann sich ein Regelkreis mit einem geeigneten Regler auch stabil verhalten, wenn einzelne Bestandteile der Strecke instabil sind. Eine positive Rückführung eines Regelkreises führt immer zur monotonen Instabilität.
Die P-Verstärkung eines Reglers kann in einem Regelkreis nicht beliebig hoch
gewählt werden, anderenfalls führt infolge der phasenverschiebenden
Eigenschaften aller zeitabhängigen Komponenten des Regelkreises – bedingt durch
die negative Rückführung – zur oszillatorischen Instabilität. Wird z.B.
ein variables Frequenzsignal konstanter Amplitude an den Eingang einer
Regelstrecke mit mindestens drei PT1-Verzögerungsgliedern eingeleitet, dann
fällt mit steigender Frequenz die Amplitude des Ausgangssignals und das
Ausgangssignal ist gegenüber dem Eingangssignal nacheilend um
verschoben. Wenn eine solche Regelstrecke in Verbindung mit einem Regler zu
einem Regelkreis geschaltet wird, entsteht am Soll-Istwert-Vergleich für eine
kritische Kreisverstärkung anstelle einer Gegenkopplung
eine Mitkopplung
und der Regelkreis wird oszillatorisch instabil.
Die Stabilität eines Regelkreises kann nach dem vereinfachten Nyquist-Kriterium durch die Darstellung des Amplitudengangs und des Phasengangs im Bode-Diagramm abgeschätzt werden:
- Ein geschlossener Regelkreis
ist stabil, wenn der aufgeschnittene Regelkreis
bei der Durchtrittsfrequenz
für
die Phasendrehung des Phasengangs
ist. Diese Beziehung gilt für stabile Verzögerungsglieder (negative Realteile der Pole) bis zu einem Doppelpol im Ursprung und einem Totzeitglied der Regelstrecke.
Bei Angriff einer statischen oder flüchtigen Störgröße zeigt die Regelgröße zu diesem Zeitpunkt eine vorübergehende Regelgrößenänderung. Eine statische Störgröße kann eine bleibende Regelabweichung hervorrufen, wenn die Kreisverstärkung z.B. bei Verwendung eines stetigen proportionalen Reglers (P-Regler) nicht hoch genug ist. Hat der Regler eine zeitlich integrale Komponente (I-Glied), verschwinden statische Regelabweichungen, der Regelvorgang wird aber wegen der notwendigen Reduzierung der Kreisverstärkung langsamer.
Es ist Aufgabe des Reglers, das Zeitverhalten der Regelgröße bezüglich des statischen und dynamischen Verhaltens gemäß vorgegebenen Anforderungen festzulegen. Zur Erfüllung widersprechender Anforderungen wie gutes Führungs- und Störverhalten sind gegebenenfalls aufwändigere Regelkreisstrukturen erforderlich.
Die Übergangsfunktion (Sprungantwort der Regelgröße) eines Regelkreises mit einer Regelstrecke ab des zweiten Grades (ohne Pol-Nullstellen-Kompensation) verursacht je nach Höhe der Kreisverstärkung ein unvermeidbares periodisch gedämpftes Einschwingverhalten.
Die Führungsgröße
des Regelkreises kann als fester Sollwert, als programmgesteuerte
Sollwertvorgabe oder als kontinuierliches, zeitabhängiges Eingangssignal mit
besonderen Folgeeigenschaften für die Regelgröße ausgelegt sein.
Kenngrößen der Übergangsfunktion des Regelkreises
Ein Regelkreis mit linearen Komponenten der Regelstrecke höherer Ordnung, eventuell mit kleiner Totzeit und geringer Begrenzung der Stellgröße des Reglers hat die im Grafikbild dargestellte typische Übergangsfunktion (Sprungantwort). Die nachfolgenden tabellarisch aufgestellten Kenngrößen, die durch Führungsgrößensprünge oder Störgrößensprünge entstehen, hängen von den Regel- und Streckenparametern ab. Mit systematischer Änderung der Regelparameter lassen sich die gewünschten Eigenschaften der Kenngrößen (auch Güteforderungen, Dynamikforderungen) erreichen.
Die nachfolgenden Begriffe der Kenngrößen der Übergangsfunktion sind in der Fachliteratur meistens einheitlich geführt. Die zugehörigen Abkürzungen sind es nicht.
Tabellarische Aufstellung der Kenngrößen der Übergangsfunktion eines Regelkreises:
| Bezeichnung | DIN IEC 60050 | DIN 19226 | Begriffsdefinition |
|---|---|---|---|
| Verzugszeit | Te | Tu | Zeit vom Eingangssprung nach Abschnitt der Wendetangente der Abszisse |
| Anstiegszeit (Ausgleichszeit) |
Tb | Tg | Tangente Abschnitt Abszisse nach Abschnitt Sollwert |
| Anregelzeit (Einschwingzeit) |
Tcr | Zeit vom Eingangssprung bis y(t) das Toleranzband
schneidet. Kenngröße der Reaktionsgeschwindigkeit einer Regelung. | |
| Ausregelzeit (Ausschwingzeit) |
Tcs | Zeit vom Eingangssprung bis die Schwingamplituden y(t) innerhalb des
Toleranzbandes liegen. Kenngröße des Abklingens der Schwingamplituden. | |
| Überschwingweite | xm | Größte Amplitude über dem Beharrungswert der Regelgröße. Beharrungswert = Istwert für t → ∞. (Führungsgrößensprung = 1). | |
| Maximum der Regelgröße |
Überschwingweite + Beharrungswert |
Ließen sich diese Größen der Anregelzeit, der Ausregelzeit und der Überschwingweite gemeinsam minimieren, dann wäre der Regelkreis optimal dimensioniert. Leider zeigen die genannten Größen bei Änderung der Reglerparameter ein teilweise entgegengesetztes Verhalten. Erhöht man beispielsweise die Kreisverstärkung, verkürzt sich die Anregelzeit, die Ausregelzeit und die Überschwingweite vergrößern sich.
Der Regelkreis wird mit Hinblick auf das Führungs-, Stör- und Robustheitsverhalten optimiert. Welche Art der oben genannten Gütekriterien berücksichtigt werden soll, muss in einem Projekt-Lastenheft festgelegt werden.
Gütekriterien (Regelgüte, Integralkriterien, Güte des Regelverhaltens)
Man versteht darunter ein Maß für die zeitliche Abweichung der Sprungantwort der Regelabweichung y(t) zur Sprungfunktion der Führungsgröße w(t) über den vollen Einschwingvorgang durch Integration.
Bei diesen Integralkriterien wird die Regelabweichung w(t) – y(t) für die Dauer des Einschwingvorgangs auf verschiedene Arten integriert. Unterschieden wird die:
- lineare Regelfläche
- quadratische Regelfläche
- Betragsregelfläche: (Integration des Betrages der Regelabweichung)
- ITAE-Kriterium: Durch Multiplikation mit der Zeit werden die kleinen Schwingamplituden stärker berücksichtigt.
Komponenten des Regelkreises
Je nach Anforderung der Qualität des Regelung, der Stückzahl der Regler, die Art der vorhandenen Signale der Strecke, die Art der gegebenen Hilfsstromversorgung und auch ob Sicherheitsvorschriften berücksichtigt werden müssen, kann entschieden werden, ob ein unstetiger Regler, ein analoger Regler, ein digitaler Regler und evtl. redundante Einrichtungen eingesetzt werden können.
Verhalten von stetigen Reglern:
- Regler mit P- oder PD-Verhalten lassen einen Regelkreis schnell reagieren.
- Regler mit einem I-Anteil machen einen Regelkreis langsam, verhindern aber mit der theoretisch unendlich hohen Verstärkung eine stationäre Regelabweichung.
- Regler mit PI-Verhalten sind auch für Regelstrecken mit Totzeit geeignet.
- PID-Regler sind in der klassischen Form aus der Parallelschaltung der
Einzelkomponenten entstanden. Durch algebraische Umrechnung der zugehörigen
Übertragungsfunktion besteht der ideale Regler aus zwei PD-Gliedern und einem
I-Glied.
- Ideale Regler gelten als technisch nicht realisierbar, wenn die
Übertragungsfunktion im Zähler eine höhere Ordnung als im Nenner aufweist.
Deshalb wird der Übertragungsfunktion des idealen Differenzierers eine kleine
ungewollte, aber notwendige „parasitäre“ Verzögerung (PT1-Glied) zugefügt,
deren Zeitkonstante
wesentlich kleiner sein muss als die Zeitkonstante
des Differenzierers
.
- Spezialregler bedienen zahlreiche spezielle Anwendungen, wie Mehrgrößensysteme, Kaskadenregelung, Regelkreise mit Vorsteuerung und Vorfilter, Regelkreise mit Störgrößenaufschaltung, Folgeregelung nach einer Solltrajektorie, Mehrpunktregelung, Fuzzy-Regler, Zustandsregelung der Zustandsvariablen im Zustandsraum, Digitalregler. Gutes Führungsverhalten und gute Störunterdrückung erfordern Spezialregler, weil widersprechende Eigenschaften erforderlich.
Verhalten linearer Regelstrecken:
- Regelstrecken zweiten Grades (z.B. Reihenschaltung von zwei PT1-Gliedern oder PT1-Glied + I-Glied) können mit beliebig hoher Kreisverstärkung im Regelkreis ohne Gefahr der Instabilität arbeiten.
- Regelstrecken dritten und höheren Grades können im stabilen Regelkreis nur mit stark eingeschränkter Kreisverstärkung wirken.
- Bei drei Verzögerungsgliedern mit dem ungünstigsten Fall von drei gleichen Zeitkonstanten ist der Grenzfall der Instabilität bei einer P-Verstärkung des Reglers von K = 8 gegeben, unabhängig von der Größe der Zeitkonstanten. Erklären lässt sich dieses Verhalten mit dem Stabilitätskriterium von Nyquist.
- Eine Regelstrecke beliebig höheren Grades, evtl. zusätzlich mit Totzeitverhalten, kann nur stabil geregelt werden, wenn einige der PT1-Glieder durch PD1-Glieder des Reglers kompensiert werden.
- Beispiel Regelstrecke 4. Grades mit Totzeitglied:
- Ein monoton instabiles Regelstreckenglied kann mit einem geeigneten Regler zu einem stabilen Regelkreis führen.
- Beispiel eines monoton instabilen Regelstreckengliedes:
- Eine aus reiner Totzeit bestehende Regelstrecke kann nur – abgesehen von Spezialreglern – durch einen I-Regler geregelt werden.
- Wählt man für die Verstärkung des I-Reglers
, beträgt für alle Totzeiten
die Überschwingung ca. ü = 4 %, was einer Dämpfung von ca. D = 0,7 entspricht.
Einfluss der Stellgrößenbegrenzung:
Es ist Ermessenssache, ob das Reglerausgangssignal mit der Leistungsschnittstelle als Stellgröße, Teil des Reglers, der Regelstrecke oder eine unabhängige Einrichtung ist.
- Sind differenzierende PD-Glieder im Regler vorhanden, wird die Verstärkung
um einen dynamischen Anteil noch zusätzlich erhöht. Dabei kann die Stellgröße
sehr große Werte annehmen. Dies ergibt sich aus der Berechnung der Schließbedingung (Signalflussalgebra) des Regelkreises.
- Eine hohe Kreisverstärkung (P-Verstärkung des Reglers und der Strecke) macht den Regelkreis dynamisch schnell, sie kann aber praktisch nur begrenzt realisiert werden, weil die Stellgröße des Reglers wegen technischer Anschläge oder aus Energiemangel nicht unbegrenzt wachsen kann.
- Stellgrößenbegrenzungen bei Anwendung von P-Reglern sind häufig gegeben, sie verlangsamen das Einschwingverhalten der Regelgröße. Die Störgrößeneinflüsse werden weniger reduziert.
- Begrenzungen der Stellgröße des Reglers führen zur Nichtlinearität des
Systems. Eine Beschreibung des Systems mit der Übertragungsfunktion
ist damit nicht gültig.
- Man kann durchaus Signalbegrenzungen ignorieren und kommt zu einem stabilen Regelkreis. Jedoch entspricht das Übergangsverhalten der Regelgröße y(t) bei Signalbegrenzungen nicht der Übertragungsfunktion des Regelkreises.
- Eine geringere Regler-Verstärkung in Verbindung mit einer zeitlich integral wirkenden Komponente des Reglers macht den Regelkreis für alle statischen Einflüsse zwar genauer und stabiler, aber deshalb auch langsamer.
- Eine zu einer Regelstrecke umfunktionierte Steuerstrecke lässt sich ohne Energiezufuhr nicht schneller machen.
Regelkreis-Entwurfsstrategien für lineare zeitinvariante Systeme
Die Stabilität des Regelkreises mit linearen zeitinvarianten Übertragungssystemen hängt von der Ordnung und den Parametern der Strecke, von der Struktur des Reglers und von den Parametern – insbesondere von der P-Verstärkung – des Reglers ab.
1) Parametrierter PID-Regler an Modellregelstrecke.
2) Gleicher PID-Regler an Original-Regelstrecke.
3) Mittels heuristischer Methoden parametrierter PID-Regler an Original-Regelstrecke
Die Entwurfsstrategien für Regelkreise beziehen sich bei linearen Systemen auf die Minimierung der statischen Regelabweichung und des Einschwingverhaltens der Regelgröße. Je geringer beispielsweise die Zahl und die Größe der Zeitverzögerungen der Regelstrecke sind, umso höher kann die Kreisverstärkung und damit die Verstärkung des Reglers gewählt werden, was die statische und dynamische Genauigkeit der Regelgröße verbessert.
Liegt die Beschreibung der Regelstrecke
als lineares zeitinvariantes Übertragungssystem in Produktdarstellung vor, kann
relativ einfach ein geeigneter Regler
bestimmt werden. Zur Vereinfachung des offenen Regelkreises
werden PT1-Glieder mit dominantem Zeitkonstanten der Strecke gegen PD1-Glieder
des Reglers gekürzt (Pol-Nullstellenkompensation), d.h. die
Regelkreisglieder des offenen Kreises mit gleichen Zahlenwerten und mit gleichen
Vorzeichen der Pole und Nullstellen haben damit keine Wirkung mehr. Für die
Stabilität des Regelkreises ist jeweils 1 Pol mehr erforderlich als Nullstellen
innerhalb der Übertragungsfunktion vorhanden sind.
Mit Hilfe der Gleichung für das Schließen des Regelkreises
ergibt sich die Übertragungsfunktion des geschlossenen Regelkreises in
Polynomdarstellung. Die Schließbedingung gilt nicht für Regelstrecken mit
Totzeit.
Die Übergangsfunktion
(Sprungantwort der Regelgröße) eines Regelkreises mit einem P-Regler und einer
Regelstrecke mit Verzögerungen ab zweiten Grades verursacht je nach Höhe der
Kreisverstärkung ein unvermeidbares periodisch gedämpftes Einschwingverhalten.
Normalform der Übertragungsfunktion eines Schwingungsgliedes: .
Dieses periodisch gedämpfte Einschwingverhalten ändert sich auch nicht bei Regelstrecken höheren Grades oder mit Totzeit bei reduzierter Kreisverstärkung, lediglich die Verzugszeit und Ausregelzeit werden größer. Selbstverständlich erfordern Regelkreise mit geringer Kreisverstärkung einen I-Anteil zur Vermeidung einer großen Regelabweichung.
Zur Beurteilung des Einschwingverhaltens wurde dazu der Begriff Regelgüte definiert, die je nach Vorgabe eines Lastenheftes die Art des Einschwingens der Regelgröße festlegt.
Bei Regelstrecken mit nichtregulären Systemen wie das monoton instabile
PT1i-Glied
oder bei instabilen Regelstrecken mit zwei I-Gliedern
wird der geschlossene Regelkreis mit einem geeigneten Regler mit steigender
Kreisverstärkung stabil. Bei solchen Systemen empfiehlt es sich, die Stabilität
des Regelkreises mittels numerischer Berechnung zu prüfen.
Weitere Entwurfskriterien:
- Wird eine Steuerstrecke aus linearen zeitinvarianten Systemen in Verbindung mit einem Regler zu einem Regelkreis gestaltet, dann werden in Bezug zum Verhalten der Steuerstrecke 2 Vorteile gewonnen:
-
- Die Regelgröße
stellt sich auf das Niveau des Sollwertes
ein, Störgrößen werden minimiert,
- Die dominante Zeitkonstante der Regelgröße verringert sich gegenüber die der Strecke ungefähr um den Faktor der Kreisverstärkung.
- Die Regelgröße
- Der Regelkreis soll sich robust verhalten.
- Unter „robust“ versteht man den Einfluss der schleichenden Änderungen der Parameter von Regler und Regelstrecke auf die Dynamik des Regelkreises. Diese durch innere und äußere Umwelteinflüsse wie z.B. Alterung, Reibung, Korrosion entstehenden Parameteränderungen müssen innerhalb eines zugelassenen Toleranzbereiches liegen. Das Verhalten der Robustheit wird auch mit Einfluss der „inneren Störgrößen“ eines Regelkreises bezeichnet.
- Kompromiss zur Reglerparametrierung:
- In Einzelfällen muss immer für eine gute Dynamik des Regelkreises ein Kompromiss zwischen einer zulässigen Stellgrößenbegrenzung oder einer Reduzierung der P-Verstärkung und Einfügen eines I-Anteil im Regler entschieden werden. Gleichzeitiges Verbessern des Einschwingverhaltens der Regelgröße und der Störunterdrückung erfordern weitere Maßnahmen wie Vorfilter oder Vorsteuerung.
- Simulation des Regelkreises zur Reglerparametrierung:
- Zur Simulation des Verhaltens eines Regelkreises muss das mathematische Modell der Regelstrecke ermittelt werden. Dazu eignen sich experimentelle Identifizierungsmaßnahmen (Experimentelle Systemidentifikation) mit Hilfe von Testsignalen.
- Für die Berechnung des zeitlichen Verhaltens von Übertragungssystemen mit
Signalbegrenzungen und Totzeitverhalten eignet sich nur die Methode der
numerischen Berechnung mit der diskreten Zeit
.
Übersicht Regelung mit nichtlinearen Reglern
Bei linearen Systemen ohne Energiespeicher ist die Ausgangsgröße proportional der Eingangsgröße. Bei linearen zeitinvarianten (LZI-System) Systemen mit Energiespeichern ist die Ausgangsgröße im eingeschwungenen Zustand der Eingangsgröße proportional. Bei Systemen mit integralem Verhalten (I-Glied) ist die Ausgangsgröße proportional des zeitlichen Integrals der Eingangsgröße. Bei Systemen mit differenzierendem Verhalten (D-Glied) ist die Ausgangsgröße proportional des Differentialquotienten der Eingangsgröße.
Mathematische Operationen von Signalen bezogen auf die Ausgangsgröße wie:
- Additionen, Subtraktionen, Differentiationen, Integrationen oder Multiplikationen mit einem konstanten Faktor von Eingangssignalen ergeben lineares Verhalten.
- Multiplikation und Division von Eingangsgrößen ergeben nichtlineares Verhalten.
Bei nichtlinearen Übertragungssystemen wirkt mindestens eine nichtlineare Funktion in Verbindung mit linearen Systemen. Nichtlinearen Funktionen werden nach stetigen und unstetigen Nichtlinearitäten unterschieden. Stetige Nichtlinearitäten weisen keine Sprünge der Übertragungskennlinie auf wie z.B. bei quadratischem Verhalten. Unstetige Übertragungskennlinien wie bei Begrenzungen, Hysterese, Ansprechempfindlichkeit, Zwei- und Mehrpunkt-Charakter haben keinen kontinuierlichen Verlauf.
Zu den nichtlinearen Reglern gehören auch die unstetigen Regler wie Zweipunkt-, Mehrpunkt- und Fuzzy-Regler, die in einem eigenen Kapitel beschrieben sind.
Die Berechnung von nichtlinearen Systemen geschieht meist im Zeitbereich. Die Lösung von nichtlinearen Differentialgleichungen ist schwierig und aufwendig. Dies bezieht sich besonders auf die Gruppe der Systeme mit unstetigem nichtlinearem Übertragungsverhalten bzw. nichtstetigen Reglern. Einfacher ist die Berechnung eines Regelkreises mit schaltenden Reglern mit rechnergestützten zeitdiskreten Verfahren.
- → Siehe Kapitel Reglerentwurf für lineare zeitinvariante Systeme
Entwurf eines Reglers durch Polzuweisung in der s-Ebene
Das nachfolgend beschriebene Entwurfsverfahren besteht darin, dass Pole und Nullstellen einer Übertragungsfunktion eines geschlossenen Regelkreises in bestimmte Bereiche des Pol-Nullstellen-Diagramms zugewiesen werden, um bestimmte Güteanforderungen festzulegen. Dabei wird vorausgesetzt, dass ein dominantes Schwingungsglied (PT2-Glied) vorliegt, evtl. vorhandene zusätzliche Pole weit genug vom dominanten Polpaar entfernt in der linken s-Halbebene liegen und deshalb wenig Einfluss haben.
Aufgabe eines Reglers ist nun, die zugewiesene Lage der Pole zu erfüllen.
Reglerentwurf mit der inversen Laplace-Transformation
Ist die Übertragungsfunktion eines linearen dynamischen Systems oder eines geschlossenen Regelkreises gegeben, kann mittels der inversen Laplace-Transformation mit einem definierten Eingangs-Testsignal der Verlauf der Ausgangsgröße bzw. die Regelgröße errechnet und graphisch dargestellt werden. Dabei bedient man sich einer in jedem Fachbuch der Regelungstechnik vorhandenen Laplace-Transformationstafel, welche für viele Formen der Produktdarstellung einer Übertragungsfunktion im s-Bereich die korrespondierende Funktion im Zeitbereich darstellt.
Die Ausgangsgröße eines dynamischen Systems im s-Bereich lautet:
Die Ausgangsgröße eines dynamischen Systems y(t) des Zeitbereichs für ein Übertragungssystem im s-Bereich lautet:
Testsignale zur Berechnung der Systemantwort:
-
Testsignal Zeitbereich f(t) Testsignal im s-Bereich Systemantwort f(t) Impulsfunktion Normierter Impuls = Gewichtsfunktion Sprungfunktion Einheitssprung für
Übergangsfunktion Anstiegsfunktion
Gradient:Rampenantwort
Die grafische Darstellung der Sprungantwort (Übergangsfunktion) eines dynamischen Systems ist die häufigste bekannte Darstellung des System-Zeitverhaltens. Wird als Suchbegriff die korrespondierende Zeitfunktion in den Laplace-Korrespondenztabellen gefunden, kann durch Einsetzen verschiedener Werte für t das Systemverhalten für ein gegebenes Eingangssignal grafisch dargestellt werden.
Anmerkung: Die Anwendung der inversen Laplace-Transformation fordert bei gedämpft schwingenden Systemen viel Rechenarbeit mit trigonometrischen und exponentiellen Funktionen.
→ Siehe mit Berechnungsbeispiel auch Regelkreis#Reglerentwurf mit der inversen Laplace-Transformation
Digitale Regelung (Übersichtsdarstellung)
Analoge wie digitale Regler benötigen als Eingangssignal die Regelabweichung und einen Regelalgorithmus, der die gewünschte Dynamik des geschlossenen Regelkreises bestimmt.
Zeitdiskrete lineare dynamische Systeme sind dadurch gekennzeichnet, dass die inneren Systemzustände nur zu einzelnen Zeitpunkten definiert sind und an den Ein- und Ausgängen zeitdiskrete Signale auftreten.
Bei den meisten Regeleinrichtungen handelt es sich bei den Regelstrecken um kontinuierlich wirkende analoge Eingrößensysteme, die sich linear, nichtlinear und totzeitbehaftet verhalten können. Für diese Regelstrecken sollen bestimmte physikalische Größen wie Temperatur, Kraft, Druck, Geschwindigkeit, Niveau usw. geregelt werden. Die dafür erforderlichen Regler können eine analoge oder digitale Systemstruktur aufweisen und enthalten am Ausgang eine analoge kontinuierlich wirkende Stellgröße.
Digitale Regelung bedeutet, dass das Eingangssignal eines Reglers oder eines Teilsystems zu bestimmten diskreten Zeitpunkten abgetastet, zeitsynchron berechnet und als digitales Ausgangssignal ausgegeben wird. Andere Begriffe bezeichnen diesen Vorgang als „zeitdiskrete Regelung“ oder auch als „Abtastregelung“.
In der Mathematik wird eine Auflistung von endlich und unendlich vielen
fortlaufend nummerierten Objekten (hier abgetastete Zahlenwerte) als Folge bezeichnet.
Die Abtastfolge
bedeutet eine Nummerierung der Folgeglieder der Wertefolge des Eingangssignals
(Eingangsfolge) und des Ausgangssignals (Ausgangsfolge) eines Systems.
Eine Wertefolge besteht aus
oder
vielen Folgegliedern.
Der digitale Regler hat keine Begrenzung der Anzahl der Folgeglieder der
Abtastfolge. Es werden bei einer Regelung unendlich viele Folgeglieder
im realen zeitlichen Abstand der Abtastzeit
ausgeführt.
Der Rechenalgorithmus eines Digitalrechners erlaubt keine kontinuierliche
Berechnung von analogen zeitabhängigen Signalen. Deshalb werden zu bestimmten
Zeitpunkten die analogen Eingangssignale, z.B. die Regelabweichung e(t) =
w(t) - y(t), mit Hilfe eines (idealen) -Abtasters
und einem A/D-Wandlers
als
abgetastet. Das gewünschte System-Übertragungsverhalten des digitalen Reglers
wird für die gegebene Eingangsfolge mit Differenzengleichungen
berechnet und taktsynchron als digitales Ausgangssignal
mit Zahlenwerten ausgegeben.
Ist ein analoges Ausgangssignal als Stellgröße für eine analoge stetig wirkende Regelstrecke erforderlich, erlaubt eine spezielle Hardware mit einem D/A-Wandler mit einer Haltefunktion (Halteglied) die Umwandlung in ein gestuftes quasi-stetiges Ausgangssignal u(t) als Stellgröße des Reglers.
Bei schnellen Regelstrecken spielen die Systemgeschwindigkeiten des digitalen Rechners, der A/D-D/A-Wandler, die Sample-and-Hold-Schaltung, wie auch die verwendeten Methoden der Differenzengleichungen beziehungsweise deren Approximations-Algorithmen eine große Rolle.
Zu den technischen Vorteilen der digitalen Regler gehören: einmaliger Hardware-Entwicklungsaufwand, einfache parametrische System-Änderungen per Software, Realisierung komplexere Reglerstrukturen, Multitasking.
Grundlagen Zustandsregelung
Der Zustandsregler ist kein eigenständiger Regler, sondern er entspricht der mit Faktoren bewerteten Rückführung der Zustandsgrößen eines mathematischen Modells der Regelstrecke im Zustandsraum.
Das Grundprinzip des Zustandsreglers (auch statische Zustandsrückführung
genannt) ist die Rückführung der bewerteten inneren Systemgrößen
eines Übertragungssystems zu einem Regelkreis. Die einzelnen Zustandsgrößen
werden mit Faktoren
bewertet und wirken subtraktiv auf die Führungsgröße w(t).
Damit durchlaufen Anteile der Zustandsgrößen ein zweites Mal die Integrationskette der Rechenschaltung laut Signalflussplan der Regelungsnormalform. Das Ergebnis ist ein Zustandsregler mit PD-Verhalten im Zustandsregelkreis.
Im Gegensatz zu einem Standardregelkreis wird die Ausgangsgröße y(t) des Zustandsregelkreises nicht auf den Eingang der Regelstrecke zurückgeführt. Der Grund liegt darin, dass die Ausgangsgröße y(t) eine Funktion der Zustandsgrößen ist. Dennoch kann ein nicht akzeptabler proportionaler Fehler zwischen den Werten der Führungsgröße w(t) und der Regelgröße y(t) entstehen, der durch ein Vorfilter V beseitigt werden muss.
Die Regler-Zustandsrückführung (zur Unterscheidung der Rückführung der
Zustandsgrößen) bezieht sich auf den Zustandsvektor ,
der mittels Vektorverstärkung
laut dem Signalflussplan des Modells der Zustandsregelkreises auf die
Eingangsgröße
zurückgeführt wird:
Der lineare Zustandsregler bewertet die einzelnen Zustandsvariablen der Regelstrecke mit Faktoren und summiert die so entstandenen Zustandsprodukte zu einem Soll-Ist-Wert-Vergleich.
Eine Alternative zur Vermeidung einer Regelabweichung bietet ein überlagerter Regelkreis des Zustandsregelkreises mit einem PI-Regler mit Rückführung der Regelgröße y(t), der das Vorfilter V überflüssig macht.
Fuzzy-Regler
Fuzzy-Regler beziehen sich auf die Verfahren der Fuzzy Controller, sind aber meist funktionelle Abwandlungen, Vereinfachungen oder Ergänzungen mit der Fuzzy-Logik.
Im systemanalytischem Sinne ist ein Fuzzy Control System ein statisches nichtlineares Steuersystem, welches aus scharfen Eingangsgrößen eines komplexen Prozesses nach den Regeln einer Regelbasis unscharf definierte fuzzifizierte Steuergrößen und scharfe defuzzifizierte Wertesignale bildet, mit denen ein zufriedenstellendes Prozessergebnis erreicht wird.
Fuzzy-Controller arbeiten mit sogenannten „linguistischen Variablen“, welche sich auf „unscharfe Mengenangaben“ beziehen, wie zum Beispiel hoch, mittel und niedrig. Die „Regelbasis“ verknüpft die fuzzifizierten Ein- und Ausgangssignale mit logischen Regeln wie WENN-Teil und DANN-Teil. Mit der Defuzzifizierung wird die unscharfe Menge wieder in scharfe Stellbefehle gewandelt (z.B. Ventilkombinationen für „Kraft Aufbau“ oder „Kraft Abbau“ oder „Kraft halten“).
Ein grafisches Fuzzy-Modell zeigt eine Fuzzy-Variable als skalierte Grundmenge (z.B. Temperaturbereich), deren meist dreieckförmige Teilmengen (Fuzzy-Sets) auf der Abszisse eines Koordinatensystems meist überlappend aufgeteilt sind. Die Ordinate zeigt den Zugehörigkeitsgrad für jeden scharfen Wert der Eingangsgröße an. Der maximale Wert des Zugehörigkeitsgrades für jeden Fuzzy-Set beträgt μ = 1 ≡ 100 %.
Unstetige Regler
Bei unstetigen Reglern (auch nichtstetige Regler) ist die Ausgangsgröße u(t) gestuft. Bei einem einfachen Zweipunktregler kann die Ausgangsgröße des Reglers – die Stellgröße u(t) – nur 2 diskrete Zustände annehmen: Ist die Regelabweichung e(t) = w(t) – y(t) positiv, schaltet der Zweipunktregler ein, ist sie Null oder negativ schaltet der Regler aus. Hat der Regler eine symmetrische Hysterese, muss die Regelabweichung stets einen kleinen Betrag negativ werden, damit der Regler ausschaltet und einen gleichen kleinen Betrag positiv werden, damit der Regler einschaltet.
Unstetige Regler mit den Ausgangssignalzuständen „Ein“ oder „Aus“ können auch ein proportionales Verhalten haben, wenn die Ausgangsgröße eines klassischen Standardreglers mit einem Pulsbreiten-Modulator versehen wird. Die Regelstrecke wirkt dabei zur Glättung der gepulsten Signale als Tiefpass. Zweck dieses Verfahrens ist die möglichst verlustfreie Steuerung großer Energieflüsse.
Bei der Verwendung elektrischer und elektronischer Schaltelemente wie Relais, Schaltschütze, Transistoren und Thyristoren ist eine möglichst niedrige Schaltfrequenz anzustreben, um Bauelemente-Verschleiß und Alterung gering zu halten. Auch elektronische Bauelemente unterliegen einer Alterung, wenn sie bei erhöhter innerer Temperatur betrieben werden. Andererseits bedeutet eine niedrige Schaltfrequenz eine Erhöhung der Welligkeit des Signals der Regelgröße.
Wegen der durch steile Impulsflanken verursachten elektromagnetischen Störungen der Schaltvorgänge sind geeignete Entstörmaßnahmen vorzusehen. (Siehe Elektromagnetische Verträglichkeit)
Wie auch bei linearen Übertragungssystemen interessiert die Stabilität eines Regelkreises mit nichtstetigen Reglern.
Die effektivste Berechnungsmethode für den Entwurf, die Analyse und der Optimierung eines nichtstetigen Reglers im Regelkreis-Modell ist numerisch durch kommerzielle Rechenprogramme wie mit MATLAB oder Simulink zu erreichen.
Liegen solche Rechenprogramme nicht vor, so können mit der Kombination logischer Gleichungen und Differenzengleichungen beliebige Systeme und Regelkreise mit stetigen, unstetigen, nichtlinearen und linearen Elementen relativ einfach mit beliebigen Rechenprogrammen – vorzugsweise Tabellenkalkulation – numerisch für eine diskrete Zeit Δt berechnet werden. Das Verhalten der relevanten Regelkreissignale für ein Test-Eingangssignal kann direkt tabellarisch und grafisch dargestellt werden.
Zweipunktregler
Zweipunktregler können nicht nur einfachste Regelaufgaben zufriedenstellend lösen. Sie vergleichen die Regelgröße mit einem meist hysteresebehafteten Schaltkriterium und kennen nur zwei Zustände: „Ein“ oder „Aus“. Diese so definierten Zweipunktregler haben theoretisch kein Zeitverhalten.
Darunter fallen die elektromechanischen Regler oder Schaltkomponenten wie z.B. Bimetall-Schalter, Kontaktthermometer, Lichtschranken. Häufig sind diese einfachen Regler nur für einen festen Sollwert geeignet.
Das Hystereseverhalten des realen elektromechanischen Zweipunktreglers entsteht meist durch Reibungseffekte, mechanisches Spiel, zeitabhängige elastische Materialverformungen und Mitkopplung des Systemausgangs auf den Eingang.
Elektronische Zweipunktregler erlauben eine sehr gute Anpassung an die Regelstrecke. Dafür werden 2 wichtige Eigenschaften des Reglers erforderlich. Die sich automatisch einstellende Schaltfrequenz des Regelkreises muss durch einzustellende Parameter erhöht oder reduziert werden, um eine gewünschte optimale Schaltfrequenz zu erzielen.
Dazu wird der ideale elektronische Zweipunktregler durch folgende Schaltungsmaßnahmen erweitert:
- definierte (harte) Hysterese durch Mitkopplung des Reglerausgangs zum Eingang (additiver Einfluss),
- Zeitverhalten durch verzögernde oder verzögernd nachgebende Rückführung auf das Eingangssignal (subtraktiver Einfluss).
Damit kann hinsichtlich der unterschiedlichen Arten der Regelstrecken ein gewünschtes Verhalten der Regelgröße und der Schaltfrequenz erreicht werden.
Für spezielle Anwendungen der Regler und Stellglieder kann die Signalverarbeitung auch auf der Basis von pneumatischen oder hydraulischen Medien erfolgen. Die Gründe dafür sind: explosive Materialien in der Umgebung, hohe elektromagnetische Störstrahlung, keine elektrische Energie vorhanden, pneumatische oder hydraulische Energieeinrichtungen sind bereits vorhanden.
Richtig angepasste Zweipunktregler an eine Regelstrecke können für die Regelgröße y(t) bessere dynamische Eigenschaften als die Anwendung eines stetigen Standardreglers bieten
Dreipunktregler
Dreipunktregler mit drei Schaltzuständen haben einen Eingang und zwei Ausgänge und schalten jeden der beiden Ausgänge in den Zustand „Ein“ oder „Aus“ oder „beide Aus“ in Abhängigkeit von einem bestimmten positiven oder negativen Wert des Eingangssignals e(t). Sie erlauben, zwei unterschiedliche Energiearten zu schalten, und haben eine meist symmetrische „Totzone“ mit einem oberen und unteren Grenzwert der Regelabweichung e(t), in der um den Nullpunkt der Regelabweichung keine Schaltaktivitäten stattfinden.
Anwendungen findet man häufig bei motorischen Stellantrieben für Vor- und Rücklauf und in allen Arten integral wirkenden Regelstrecken.
Bei proportionalen Regelstrecken mit unterschiedlichen dominanten Zeitkonstanten (Beispiel: schnelle Aufheizung und langsame Abkühlung) kann die Reaktionsgeschwindigkeit der Regelgröße für Führungsgrößenänderungen verbessert werden, wenn anstelle des Zweipunktreglers an einer Heizungsregelstrecke ein Kühlaggregat über einen Dreipunktregler eingeschaltet wird.
Andere Anwendungen des Dreipunktreglers mit unsymmetrischer Totzone sind bekannt zur Reduzierung der Schwankungsbreite der Regelgröße durch Regelung einer Grundlast mit aufgesetzter Teillast. Beispiel: Glühofen mit 2 Heizeinrichtungen.
Ebenso wie bei dem Zweipunktregler kann der Dreipunktregler neben der Hysterese ein gewünschtes Zeitverhalten durch eine subtraktive Rückführung auf den Eingang des Reglers mit Verzögerungsgliedern bekommen.
Wie bei den Zweipunktreglern reduziert sich die Schaltfrequenz mit steigender Hysterese.
Die Größe der Totzone des Dreipunktreglers kann empirisch oder durch numerische Simulation bestimmt und optimiert werden. Sie ist von der Totzeit und von der Anzahl und Größe der Zeitkonstanten bzw. Integrationskonstanten der Regelstrecke abhängig. Eine weitere Vergrößerung einer als optimal bestimmten Totzone ruft bei P- und I-Regelstrecken größere Regelabweichungen gegenüber dem Sollwert hervor.
Erweiterte Regelkreisstrukturen
Dezentrale Regelung
Die dezentrale Regelung ist ein spezieller Ansatz zur Regelung von
Mehrgrößensystemen mit gleicher Anzahl
von Ein- und Ausgängen. Jeder Regelgröße wird ein Eingang zugeordnet, der
möglichst großen Einfluss auf die Regelgröße hat. Für jedes Paar von Ein- und
Ausgängen wird ein Eingrößenregler entworfen und realisiert, insgesamt also
Eingrößen-Regelkreise.
Kaskadenregelung
Die Idee der Kaskadenregelung besteht in der Ineinanderschachtelung von Regelkreisen. Es werden zunächst Hilfsregelgrößen mit schnellen inneren Regelkreisen geregelt, deren Sollwerte aus den Stellwerten der äußeren, langsameren Kreise bestehen.
Smith-Prädiktor
Ein Prädiktor nutzt direkt (nicht indirekt wie beim Beobachter) das Wissen des Regelstreckenmodells zur Vorhersage zukünftiger Regelgrößenverläufe. Dies bietet insbesondere Vorteile bei stark totzeitbehafteten Systemen, da konventionelle Regler dann zumeist nur sehr vorsichtig eingestellt werden können. Beispiele für starke Totzeiten finden sich zum Beispiel in der Verfahrenstechnik beim Stofftransport über lange Leitungen. Um eine wesentlich aggressivere Regelung dieser Systeme zu ermöglichen, wurde in den 1950er Jahren der Smith-Prädiktor entwickelt.
Split-Range-Regelung
Die Split-Range-Regelung betrifft die Realisierung einer Stellgröße durch mehrere Aktoren mit beschränktem Wirkbereich. Beispielsweise werden zur Temperaturregelung in einem Batch-Reaktor sowohl eine elektrische Heizung als auch eine von einem Kühlmedium durchflossene Kühlschlange eingesetzt. Ein positives Stellsignal ist durch die Ansteuerung der Heizkerzen zu realisieren. Ein negatives Stellsignal hingegen bedeutet die Anforderung von Kühlung, sodass die Heizung auszuschalten und stattdessen ein Ventil zu öffnen ist, um das Kühlmedium freizugeben.
Störgrößenaufschaltung
Normalerweise sind Störungen ihrer Natur gemäß unbekannt. Liegt jedoch eine Messung oder Schätzung der Störung vor, so kann diese durch Aufschaltung im Regelkreis verwendet werden, um die Störunterdrückung zu verbessern.
Ein Beispiel für messbare Störungen ist die Außentemperatur in Raumtemperatur-Regelungen. Sie wird in Heizungen zur Anpassung der Vorlauftemperatur eingesetzt.
Regelkreise mit Vorsteuerung und Vorfilter
Einschleifige Standardregelkreise erlauben eine Optimierung des Verhaltens der Regelgröße entweder für das Führungs- oder Störverhalten. Diese Eigenschaft bezeichnet man mit einem „Freiheitsgrad“.
Durch Änderung der Regelkreisstruktur kann man beim Systementwurf z.B. durch eine Vorsteuerung oder einen Vorfilter eine Unabhängigkeit des Führungs- und Störverhaltens erreichen. Diese Eigenschaft bezeichnet man als einen Regelkreis mit zwei Freiheitsgraden.
Ein Regelkreis mit einer Vorsteuerung erlaubt die Verbesserung des Führungsverhaltens mit folgenden Eigenschaften:
- Die Vorsteuerung beeinflusst nicht das Störverhalten.
- Sie hat keinen Einfluss auf die Kreisverstärkung und gefährdet damit nicht die Stabilität des Regelkreises.
- Die Vorsteuerung als Pole-Nullstellenkompensation der Regelstrecke hat in der Praxis nur Modellcharakter. Die Realisierung ist schwierig, weil die erforderlichen Differenzierglieder bei der Analog-Hardware-Lösung parasitäre Verzögerungen benötigt, bei der digitalen Software-Lösung sich sehr hohe Stellamplituden bilden. Beide Verfahren reduzieren den gewünschten Effekt. Abhilfe: Umrechnung in einen Vorfilter oder Aufteilen der Regelstrecke in mehrere Regelkreise (z.B. Kaskadenregelung).
Folgeregelung
Bei einer Folgeregelung soll die Regelgröße möglichst schnell einer sich ändernden Führungsgröße exakt folgen.
Die Folgeregelung besteht aus den Funktionsblöcken einer zeitabhängigen Steuerfunktion der Führungsgröße und aus einem Regelkreis für folgende Anwendungen:
- Nachfahren einer offline ermittelten Solltrajektorie für periodische Vorgänge z.B. in der industriellen Fertigung,
- Glättung eines Führungsgrößensprungs, um die Stellgrößenbegrenzung eines Regelkreises und die damit verbundene Regelabweichung zu vermeiden,
- Übergang der Führungsgröße zwischen zwei stationären Zuständen innerhalb eines Zeitintervalls.
Je nach Aufgabe der Trajektorensteuerung der Führungsgröße kann auch eine Abhängigkeit von weiteren physikalischen Größen gegeben sein.
Eine sich zeitlich schnell ändernde Führungsgröße erfordert eine Regelung mit schnellem Führungsverhalten. Greifen auch stark wechselnde Störgrößen die Regelstrecke an, muss neben dem guten Folgeverhalten auch das Störverhalten optimiert werden. Beide Ziele zu erreichen bedeuten in einem einfachen Regelkreis widersprechende Eigenschaften und erfordern weitere regelungstechnische Maßnahmen wie z.B. das Einfügen einer Vorsteuerung als schnelle Umsetzung der Führungsgrößenänderung.
Als einfaches Beispiel einer Folgeregelung kann für eine Temperaturregelung der Vorlauftemperatur einer Zentralheizung die Führungsgröße in Abhängigkeit von der Außentemperatur gesteuert werden. Das zeitliche Verhalten der Außentemperatur ist extrem langsam. Das Absinken der Außentemperatur führt zur gewünschten Steigerung der Vorlauftemperatur. Diese Beziehung Außentemperatur zur Führungsgröße erreicht man mittels einer X/Y-Funktionsgleichung.
Im Zusammenhang mit der Folgeregelung zu erweiterten Regelkonzepten ergeben sich Fachbegriffe wie: Bahnverfolgung, Trajektorienplanung, Trajektorienfolgeregelung, Flachheitsbasierte Folgeregelung.
Stabilität
Es existieren verschiedene Definitionen und Begriffe der Stabilität. Ein Übertragungssystem kann monoton oder oszillatorisch instabil sein. Ein falsch dimensionierter Regler kann in einem Regelkreis zur oszillatorischen Instabilität führen.
Interne Stabilität
Wenn die Übertragungsfunktion eines Übertragungssystems oder eines Regelkreises vorliegt:
Die Pole einer Übertragungsfunktion bestimmen die Stabilität und die Geschwindigkeit der Systembewegung. Die Nullstellen einer Übertragungsfunktion haben nur Einfluss auf die Amplituden des Systems.
- Ein Übertragungssystem ist intern stabil, wenn alle (Teil-)Übertragungsfunktionen nur Pole in der linken s-Halbebene haben.
Externe Stabilität (BIBO-Stabilität)
Wenn die Hardware eines Übertragungssystems bzw. eines Regelkreises oder eines genauen Modells mit dem Eingangs- und Ausgangssignal vorliegt:
- Ein Übertragungssystem gilt als extern stabil, wenn jedes beliebige beschränkte Eingangssignal an dem System auch ein beschränktes Ausgangssignal hervorruft.
Stabilität in Abhängigkeit von den Kenngrößen der Regeleinrichtung
Dazu gibt es eine Vielzahl von mathematischen und grafischen Verfahren.
-
- Stabilität im Regelkreis:
- Ein Regelkreis ist stabil, wenn nach einer endlichen Erregung durch Führungs- oder Störsignale seine Regelgröße endlich bleibt. Verschwindet diese Erregung, dann klingt die Regelgröße gegen Null ab.
- Asymptotische Stabilität:
- Ein lineares dynamisches System G(s) ist stabil, wenn seine Gewichtsfunktion xaδ(t) (Impulsantwort) asymptotisch gegen Null abklingt.
- Grenzstabilität:
- Überschreitet die Gewichtsfunktion xaδ(t) mit wachsender Zeit t einen endlichen Wert nicht, ist das System grenzstabil. (typisch bei einem I-Glied)
- Instabilität
- Regelkreise: Stabile zeitinvariante lineare Regelstrecken dritter und höherer Ordnung werden mit einer zu hohen P-Verstärkung des Reglers oszillatorisch instabil.
- Dynamisches Systeme: Lineare zeitinvariante Systeme beliebiger Ordnung mit einer reellen positiven Nullstelle in der rechten s-Halbebene verhalten sich global monoton instabil.
- Sonderfall: Kürzung instabiler Pole oder Nullstellen:
- Enthält die Regelstrecke instabile Pole, die durch identische Nullstellen des Reglers gekürzt werden, dann ist der geschlossene Regelkreis instabil! Die Kürzung instabiler Nullstellen der Regelstrecke gegen instabile Pole des Reglers führt ebenfalls zur Instabilität.
Übersichtsdarstellung bekannter grafischer Stabilitätsverfahren
Die Übertragungsfunktion G(s) eines Übertragungssystems setzt lineare Teilsysteme voraus. Aus der Übertragungsfunktion eines geschlossenen Regelkreises kann das Signalverhalten der Regelgröße für ein Test-Eingangssignal aus den Laplace-Transformationstafeln errechnet werden. In den meisten Anwendungen hat die Regelgröße als Sprungantwort ein aperiodisches Verhalten, was aufwendige trigonometrische Berechnungen erforderlich macht.
Bei einem geschlossenen Regelkreis ist die Eingangsgröße
des Reglers und die Ausgangsgröße y(t) als Regelgröße unabhängig von der
Systemordnung und Totzeitverhalten stets um einen nacheilenden Phasenverlauf von
−180° verschoben, einen konstanten Sollwert und einen aperiodischen oder
periodischen Signalverlauf der Regelgröße vorausgesetzt. Das liegt daran, dass
von einem konstanten Sollwert die aperiodisch oder periodisch schwingende
Regelgröße subtrahiert wird. Aus dieser Erkenntnis kann kein
Stabilitätskriterium abgeleitet werden.
Wird der Regelkreis z.B. in der Rückführung aufgetrennt, lässt sich der Phasenverlauf zwischen einer variabel oszillierenden Eingangsgröße:
und der oszillierenden Ausgangsgröße y(t) messen. Der zeitliche Verlauf der Ausgangsgröße y(t) ist um die Phasenverschiebung φ von der Eingangsgröße w(t) verschoben.
Eine Phasenverschiebung von φ < −180° und eine Verstärkung > 1 führt von der Gegenkopplung zur Mitkopplung und damit zur oszillierenden Instabilität, wenn der Regelkreis geschlossen wird.
Aus diesem Verhalten hat der amerikanische Physiker Harry Nyquist Stabilitätskriterien abgeleitet, die sich auf den offen Regelkreis beziehen und für die Schließbedingung des Regelkreises anzuwenden sind.
Die grafischen Stabilitätsverfahren dienen dem Verständnis von Teilgebieten der Systemtheorie, sind aber keine Alternativen zur numerischen Berechnung eines Regelkreises, bei dem tabellarisch das innere Teil-Systemverhalten für jede Berechnungsfolge y(k·Δt) dargestellt und grafisch der zeitliche Signalverlauf verschiedener Ausgangsgrößen für eine beliebige Eingangsgröße gezeigt wird.
Stabilitätsbedingung mit der Ortskurve des Frequenzgangs
Die Frequenzganggleichung des offenen Kreises wird nach Realteil und Imaginärteil aufgelöst und in ein Koordinatensystem eingetragen. Die senkrechte Achse zeigt die Daten der Imaginärteile, die waagerechten Achse die Realteile. Nach Nyquist lautet die Stabilitätsbedingung:
Wird beim Durchlaufen der Ortskurve des offenen Regelkreises Fo(jω) in Richtung steigender Werte von ω der kritische Punkt (−1; j0) auf der linken (negativen) Seite der Achse der Realteile nicht umschlungen bzw. berührt, ist der geschlossene Regelkreis stabil. Aus praktischen Erwägungen sollte der kritische Punkt (−1; j0) auf (−0{,}5; j0) verlegt werden, um eine gewisse Stabilitätsreserve zu erzielen.
Stabilitätsbedingung im Bode-Diagramm mit dem vereinfachten Stabilitätskriterium von Nyquist
(K = 2, T = 1; Varianten: D = 0,2; D = 1; D = 5)
Im Gegensatz zur Ortskurve des Frequenzgangs werden beim Bode-Diagramm Betrag und Phasenwinkel in zwei getrennten Diagrammen aufgetragen, als Amplitudengang und Phasengang. Das Bode-Diagramm hat einen logarithmischen Maßstab. Beim Amplitudengang ist der Betrag F(jω) auf der Ordinate, die Kreisfrequenz ω auf der Abszisse aufgetragen. Beim Phasengang ist der Phasenwinkel (linear) auf der Ordinate, die Kreisfrequenz ω auf der Abszisse (logarithmisch) aufgetragen.
Die Vorteile dieses Verfahrens sind das unmittelbare Einzeichnen der Asymptoten als Geraden des Amplitudengangs, die bequeme Multiplikation durch logarithmische Addition, das direkte Ablesen der Zeitkonstanten und das schnelle Erkennen der Stabilität des geschlossenen Regelkreises. Bei regulären Systemen ist der Phasengang aus dem Amplitudengang berechenbar und braucht nicht unbedingt gezeichnet zu werden.
Das Stabilitätskriterium ist aus dem Stabilitätskriterium von Nyquist abgeleitet:
Ein geschlossener Regelkreis ist stabil, wenn die nacheilende Phasenverschiebung φ vom Ausgangs- zum Eingangssignal des offenen Kreises bei der Kreisverstärkung K = 1 und φ > −180° beträgt. Die Dämpfung des geschlossenen Kreises wird umso günstiger, je größer der Phasenabstand zu der −180°-Linie beträgt. Diesen Abstand, der oberhalb der −180°-Linie liegt, nennt man Phasenrand oder auch Phasenreserve und sollte bei etwa 50° ± 10° liegen.
Das Nyquist-Stabilitätskriterium ist eines der wenigen Stabilitätskriterien, das auch für Systeme mit einer Totzeit benutzt werden kann.
Stabilität mit der Wurzelortskurve
Bei der Betrachtung des offenen zum geschlossenen Regelkreises werden die Nullstellen des Nenners der rational gebrochenen Funktion anstatt mit Polen mit Wurzeln bezeichnet.
Die Wurzelortskurve (siehe auch Wurzelortskurvenverfahren) ist eine grafische Darstellung der Lage der Pol- und Nullstellen der komplexen Führungs-Übertragungsfunktion Fo(s) eines offenen Regelkreises. In Abhängigkeit von einem Parameter, meist von der Kreisverstärkung des offenen Regelkreises, lässt sich durch die Wurzelortskurve auf die Lage der Pole des geschlossenen Regelkreises schließen. Das dynamische Verhalten des geschlossenen Regelkreises ist von der Polverteilung abhängig, die wieder von der Wahl der Parameter des Reglers bestimmt wird.
Die graphische Darstellung erfolgt in der s-Ebene (),
der Realteil
wird auf der Abszisse, der imaginäre Teil
auf der Ordinate aufgetragen. Für die relativ aufwändige Konstruktion der
Wurzelortskurve gibt es mehrere Regeln. Wenn alle Pole und Nullstellen in der
linken s-Halbebene liegen, ist der geschlossene Regelkreis stabil. Befinden sich
ein Pol oder mehrere Pole in der rechten Halbebene, ist das System instabil. Das
Wurzelortsverfahren lässt sich nicht auf Systeme mit Totzeiten anwenden.
Bewertung bekannter Stabilitätsverfahren für den Reglerentwurf
Für eine realistische Regelstrecke bestehend aus linearen zeitinvarianten Systemen in Verbindung mit Systemen, die sich nicht mit linearen gewöhnlichen Differentialgleichungen (Gewöhnliche Differentialgleichung) beschreiben lassen, ergeben sich für die Parametrierung der Regler folgende Einschränkungen für die angegebenen Stabilitätsverfahren.
Bezeichnungen der Übertragungssysteme:
- LZI = lineare zeitinvariante Systeme (Lineares zeitinvariantes System)
- LZV = lineare zeitvariante Systeme
- Tt = Totzeitglied (Totzeit (Regelungstechnik))
- Begrenzung eines Signals
- Nichtlineare Kennlinie (Nichtlineares System)
- MIMO = Mehrgrößensysteme, (MIMO: Multiple Input Multiple Output)
-
Stabilitätsverfahren
für den ReglerentwurfZeit-
invarianzZeit-
varianzTot-
zeitBegren-
zungNicht-
linearMIMO Bemerkungen Stabilität nach Einstellanweisungen
(Ziegler-Nichols und andere)ja — — — — — Für Grobeinstellung bedingt geeignet Bode-Diagramm + Nyquist ja — ja — — — Phasenrandempfehlung: ca. 50° Ortskurve des Frequenzgangs ja — ja — — — Kritischer Punkt: (-1; j0) Abstand Hurwitz-Kriterium ja — — — — — Alle Koeffizienten a müssen vorhanden sein und ein gleiches Vorzeichen haben. Die „Hurwitz“-Determinanten Di müssen alle > 0 sein. Verallgemeinertes Nyquist-Kriterium ja — ja — — — Aus Übertragungsfunktion wird bestimmt:
= Anzahl der Pole mit positivem Realteil,
= Anzahl der Pole auf der imaginären Achse.
WinkeländerungWurzelortsverfahren ja — — — — — Wurzelortskurve in linker s-Halbebene Inverse Laplace-Transformation ja — — — — — Geschlossener Verlauf y(t), aufwendige trigonometrische Berechnung bei Schwingverhalten. Zustandsraum
Zustandsstabilitätja ja 1) ja ja ja Gute mathematische Kenntnisse erforderlich. Numerische zeitdiskrete Verfahren:
käufliche Programme oder
Differenzengleichungenja ja ja ja ja ja Geschlossener Verlauf der Ausgangsfolge .
k = Berechnungsfolge; Δt = diskrete Zeit,
Systemparameter sind beliebig zu ändern.
- 1) Gilt nur für zeitdiskrete Verfahren im Zustandsraum-Modell!
Mathematische Modelle der Regelstrecken
Modelle beschreiben im Allgemeinen das zeitliche Verhalten dynamischer Systeme. Neben physikalischen materiellen Modellen (Beispiel: experimentelle Informationsgewinnung des Strömungsverhaltens eines Fahrzeugs im Windkanal, Modellschiffe im hydraulischen Kanal), die aufwendig und kostspielig sind, eignen sich besonders mathematische Systembeschreibungen für die Anwendung der Prozess-Simulation am Digitalrechner.
Die Vorteile der Prozess-Simulation sind bekannt, in weiten Grenzen sind Parameteränderungen möglich, zerstörungsfreie Untersuchungen möglich, relativ geringe Personalkosten,
Zur Modellgewinnung unterscheiden sich die Verfahren der theoretischen, analytischen und experimentellen Modelle.
Je nach Vollständigkeit der Kenntnisse der Modelle werden auch folgende Modellbegriffe verwendet:
- Black-Box-Modelle sind unbekannte Systeme, deren Art der Eingangs- und Ausgangsgrößen bekannt sind.
- Grey-Box-Modelle beschreiben meist Systeme deren Strukturen bekannt sind.
- Einfaches Beispiel: Regelstrecke mit Totzeit, globales I-Verhalten und Anschlagbegrenzung der Stellgröße.
- White-Box-Modelle beschreiben meist Systeme, deren mathematisches Verhalten bekannt ist, deren Parameter noch bestimmt werden müssen.
Für die Analyse, Synthese und Regelung von realen Übertragungssystemen (Regelstrecken), die meist als ein Hardwaresystem vorliegen, ist ein mathematisches Modell des Systems erforderlich.
Modelle in Form von Differenzialgleichungen beschreiben das zeitliche Verhalten des Systems exakt. Sind diese Differenzialgleichungen oder zugehörigen Übertragungsfunktionen nicht gegeben, kann das zeitliche Verhalten eines Hardwaresystems durch experimentelle Identifizierungsmaßnahmen (Experimentelle Systemidentifikation) mit Hilfe von Testsignalen ermittelt werden.
Bei der prinzipiellen Vorgehensweise wird der Identifikationsalgorithmus für die Modellparameter solange verändert, bis für ein gegebenes Eingangssignal u(t) die Differenz der Ausgangsgrößen y(t) - yModell(t) innerhalb eines beliebigen Zeitablaufs des gemessenen Originalausgangs mit dem Modellausgang annäherungsweise verschwindet.
Dynamische Systeme mit konzentrierten Parametern als Eingrößen- und Mehrgrößensysteme können sich linear, nichtlinear, zeitinvariant, zeitvariant und global-proportional, -integral und -differenzial verhalten. Systeme mit konzentrierten Parametern (Feder-Masse-System) haben im Gegensatz zu Systemen mit verteilten Parametern (Wärmefluss im homogenen Medium) keine räumliche Ausdehnung.
Die Aufgabe eines mathematischen Modells eines realen dynamischen Prozesses oder eines noch zu projektierenden technischen Prozesses dient dem Erkennen und der Vorhersage des Systemverhaltens.
Das mathematische Modell eines Regelkreises beschreibt alle äußeren Einflussgrößen wie Störgrößen und Eingangssignale auf den geschlossenen Wirkungsablauf des Regelkreises. Das Verhalten der Ausgangsgrößen wie die Regelgrößen sowie auch interessante Zwischengrößen (Stellgrößen) als Funktion der Eingangssignale und der Parameter von Regler und Regelstrecke sind von besonderem Interesse.
Je nach Lastenheft der regelungstechnischen Aufgabenstellung ist für die Bestimmung eines geeigneten Reglers das mathematische Modell der Regelstrecke erforderlich.
In den meisten Anwendungsfällen haben Übertragungssysteme (Regelstrecken)
auch nichtlineare Komponenten und sind totzeitbehaftet. Für solche Systeme wird
experimentell durch geeignete Testsignale die Systemantwort aufgezeichnet und
ein mathematisches Modell gesucht, das den gemessenen Verlauf der Ausgangsgröße
reproduziert (= Experimentelle Prozessanalyse). Ein derartig definiertes
Modell ist durch Anwendung numerischer Verfahren einfach berechenbar. Sind
nichtlineare Teilsysteme im Gesamtsystem enthalten, müssen diese getrennt
erfasst und durch Wertetabellen definiert werden.
- Global-proportionale zeitinvariante Regelstrecken höherer Ordnung mit Totzeit lassen sich relativ genau durch zwei PT1-Glieder und einem Tt-Glied beschreiben.
Falls die Darstellung der transzendenten Funktion des Totzeitgliedes mit dem Rechenprogramm Probleme bereitet, kann die dargestellte Modellgleichung auch praktisch identisch durch eine sehr gute Annäherung mit Ersatztotzeiten durch z.B. n = 3 PT1-Glieder wie folgt dargestellt werden:
- Global-integrale zeitinvariante Regelstrecken lassen sich ebenso durch zwei PT1-Glieder, einem I-Glied und einem Tt-Glied beschreiben.
Zum Modellverständnis eines dynamischen Systems müssen die wichtigsten Begriffe der inneren Systemspeicher verstanden werden.
Experimentelle Identifikation einer Regelstrecke mit Hilfe einer Modellregelstrecke
Eine reale Regelstrecke lässt sich durch die Sprungantwort der Regelstrecke, durch die Impulsantwort der Regelstrecke oder auch durch Einspeisung einer variablen Frequenz identifizieren.
Wichtigste Merkmale für die Anwendung einer Modellregelstrecke mit Hilfe der Sprung- oder Impulsantwort sind:
- Die Parameter einer Regelstrecke können mittels einer einfachen Modellregelstrecke ermittelt werden, indem die Kennlinie des Modells durch schrittweises Ändern der Zeitkonstanten des Modells auf die Kennlinie der unbekannten Regelstrecke angepasst wird.
- Das Modell muss ähnliche Streckeneigenschaften aufweisen, wie die unbekannte Regelstrecke.
- Bei Strecken ohne Ausgleich benötigt das Modell einen I-Anteil, bei Strecken mit Totzeit ist für das Modell ebenfalls ein Totzeitglied erforderlich.
- Die Anpassung eines Modells an die unbekannte Regelstrecke mit Hilfe der Sprungantwort ist relativ einfach und kann evtl. auch grafisch durchgeführt werden.
- Das Anpassung eines Modells an die unbekannte Regelstrecke mit Hilfe der Impulsantwort ist etwas aufwendiger, bietet aber bei Deckungsgleichheit der Kennlinien eine völlige Übereinstimmung zwischen Original und Modell in einem Regelkreis im Vergleich mit den jeweiligen Sprungantworten. Mit diesem Modell lässt sich auch die Ordnung des Originals feststellen.
- Es sollte einfach zu realisieren sein.
Als Beispiel für eine unbekannte Regelstrecke mit der Übertragungsfunktion:
sind für einen Eingangs-Signalsprung
aus der Sprungantwort der Regelstrecke ca. 20 bis 30 Werte der Amplitude
über die Zeit
aufgenommen worden.
Durch eine Simulation an einem Personal Computer mittels numerischer Berechnung lässt sich experimentell zu der Übergangsfunktion der oben dargestellten (in praxi unbekannten) Regelstrecke ein Ersatzstreckenmodell bestehend aus zwei gleichen PT1-Gliedern und einer Ersatztotzeit der nachstehenden Form bilden:
Damit ergibt sich mit wenigen Versuchsschritten
der Sprungantworten für die gemeinsamen Zeitkonstanten
und einer Ersatztotzeit
in einem Grafik-Diagramm praktisch Deckungsgleichheit zwischen der Sprungantwort
der Regelstrecke und der Modellantwort.
Die Parametrierung eines geeigneten Reglers für ein solches Regelstreckenmodell kann besonders einfach durch einen PID-Regler durchgeführt werden, weil die zwei PD-Glieder (Reihenstruktur des PID-Reglers) die zwei ermittelten Zeitkonstanten kompensieren können.
Identifikation einer Regelstrecke mit Ausgleich und Totzeit durch die Sprungantwort
Die Sprungantwort hat den Vorteil der einfacheren Durchführung und des höheren Bekanntheitsgrades des zu erwartenden Ergebnisses. Die zeitunabhängige Streckenverstärkung Ks kann bei Regelstrecken mit Ausgleich im statischen Zustand direkt abgelesen werden.
Gunter Schwarze
Folgende Anforderungen werden an die Modellregelstrecke für eine Regelstrecke mit Ausgleich gestellt:
- Die Sprungantwort der Modellregelstrecke soll weitgehend deckungsgleich mit der Originalregelstrecke sein.
- Die Modellregelstrecke soll eine bestimmte Form der Übertragungsfunktion aufweisen, die sich mit einem guten linearen Standardregler – bspw. einem PID-Regler – leicht für eine Parametrierung des Reglers eignet.
- Das Verfahren soll für Regelstrecken ab 2. Ordnung mit und ohne Totzeit anwendbar sein.
Zeit-Prozentkennwert-Verfahren (Schwarze)
Mit der Methode des „Zeit-Prozent-Verfahrens“ wird zum Beispiel eine Modellstrecke ermittelt, die mit gleichen Zeitkonstanten je nach Streckenkonstanten beliebiger Ordnung tatsächlich eine gute Annäherung an die reale Sprungantwort bietet. (Zeitschrift Automatisierungstechnik, München 1993 von Latzel)
Für eine gegebene Sprungantwort einer nicht schwingenden Regelstrecke werden von den Amplitudenwerten Xa von 10 %, 50 % und 90 % der Maximalamplitude im Beharrungszustand die zugehörigen Zeitwerte T10, T50 und T90 erfasst und daraus eine Modell-Übertragungsfunktion aus n gleichen Verzögerungsgliedern gebildet. Hierfür werden entsprechende Tabellen bereitgestellt.
In einer weiteren Tabelle kann man für die ermittelte Modellübertragungsfunktion der Regelstrecke zugleich die "Reglerparameter" für verschiedene Standardregler ablesen. Die Tabellen dieses Verfahrens sind in jedem guten Fachbuch der Regelungstechnik enthalten.
Heuristische Einstellregeln für einfache Regelungen
Die von Ziegler-Nichols bereits in den 1940er Jahren experimentell durchgeführten Einstellregeln beziehen sich auf die Sprungantwort einer Regelstrecke und definieren sie durch Anlegen einer Tangente am Wendepunkt als Strecke mit einem PT1-Glied und einem Totzeitglied. 1952 wurden von Chien, Hrones und Reswick die Einstellregeln (Faustformelverfahren (Automatisierungstechnik)) erweitert für aperiodisches Verhalten der Sprungantworten der Regelgröße und für gedämpft schwingendes Verhalten mit 20 % Überschwingungen. Zusätzlich erfolgt für beide Gruppen noch die Aufteilung in Führungsverhalten und Störverhalten. Diese Einstellregeln werden gelegentlich auch mit Faustformeln bezeichnet.
Es wird eine Regelstrecke 4. Ordnung mit folgender Übertragungsfunktion betrachtet:
Mit dem Anlegen der Tangente an die Übergangsfunktion der angegebenen Übertragungsfunktion ergeben sich die Kennwerte:
- Ersatztotzeit:
- Ersatzzeitkonstante:
Für diese Kennwerte werden anhand von Tabellen die Parameter der linearen Standardregler bestimmt. Aus diesen Kennwerten lässt sich keine Ersatzübertragungsfunktion bestimmen. Die Qualität der auf diese Weise ermittelten Reglerparameter ist ungünstig.
Eine Ersatzübertragungsfunktion eines sehr genauen Modells der oben genannten Übertragungsfunktion mit Hilfe einer Simulation mittels numerischer Berechnung lautet:
Siehe auch Experimentelle Identifikation einer Regelstrecke mit Hilfe einer Modellregelstrecke.
Lastenheft für ein Regelsystem
Für eine anspruchsvolle Regelung – jenseits des Probierverfahrens – ist für die Bestimmung des Reglers neben der Kenntnis des mathematischen Modells der Regelstrecke ein Lastenheft für das Verhalten des Regelkreises erforderlich.
Folgende Kenntnisse der Eigenschaften der Regelstrecke bzw. eines Modells sind erforderlich:
- Liegen Signalbegrenzungen im Übertragungssystem vor, z.B. wenn man die erforderliche gerätetechnische Stellgrößeneinrichtung des Reglers in die Regelstrecke einbezieht
- Ist eine Totzeit im System vorhanden
- Hat die Regelstrecke grenzwertstabile Komponenten (I-Glieder)
- Enthält das Übertragungssystem gedämpft schwingende Komponenten, d.h. konjugiert komplexe Pole?
- Sind neben den LZI-Systemen nichtlineare Anteile (nichtlineare Kennlinie) im Übertragungssystem enthalten
- Enthält das Übertragungssystem instabile Komponenten, d.h. die Regelstrecke ist instabil?
- Hat die Regelstrecke mehrere Eingangs- und Ausgangsgrößen, d.h. Einschleifensystem (SISO)- oder Mehrgrößensystem (MIMO).
Folgende Beschreibung der Signale und des Verhaltens der Regelgröße im Regelkreis sind notwendig:
- Groß- und Kleinsignalverhalten des Einschwingens der Regelgröße auf den Sollwert.
- Hinweis: Das Großsignalverhalten wird durch Signalbegrenzungen innerhalb des offenen Regelkreises gestört!
- Art des Einschwingverhaltens der Regelgröße,
- Gütekriterien: asymptotisch, überschwingend, Dämpfung, Überschwingweite, Anregel- und Ausregelzeit, stationäre Regelabweichung, Langzeittoleranz
- Einfluss, Art und Angriffspunkt der Störgröße z.B. auf den Eingang oder Ausgang der Regelstrecke
- Folgeverhalten der Regelgröße nach einer definierten Führungsgröße
- Optimierung des Führungs- oder des Störverhaltens
- Genügt ein angenähertes Modell der Regelstrecke
- Sind für eine besondere Regelstrecke Spezialregler erforderlich, z.B. Kompensation der Störgröße, Kompensation der Totzeit, Vorsteuerungen zur Vermeidung von Folgefehlern, Regler für Mehrgrößensysteme,
- Welcher Einfluss der inneren Störgrößen der Hardware (alterungsbedingter Einfluss der Bauteile, Drift, Hysterese, Reibungseffekte usw.) ist in der gesamten Regeleinrichtung zugelassen.
Regler im Produktionseinsatz
Zur Realisierung eines Regelkreises muss der entworfene Regler physikalisch realisiert werden. Hierzu können Analogrechner (z.B. Operationsverstärker), digitale Kompaktregler oder Soft-Regler in einer geeigneten Speicherprogrammierbaren Steuerung eingesetzt werden. Siehe auch Artikel Regler.
Je nach Aufbau und Einsatzzweck lassen sich unterscheiden:
- Industrieregler
- Maschinennahe Einzelregler für Kleinanlagen mit eigenem Mikroprozessor
- Prozessregelgeräte
- Erweiterbare Industrieregler mit Schnittstelle zu übergelagertem (Leit-)System
- Universalregler
- Prozessregler in Form von Erweiterungskarten oder Software-Regelbausteinen für programmierbare Steuerungen
- Branchenregler
- Spezielle Prozessregler, die für bestimmte Anwendungsgebiete optimiert sind
Rapid Prototyping in Forschung und Entwicklung
In der Forschung und Entwicklung entsteht regelmäßig das Problem, neue Regelungskonzepte zu testen. Die wichtigsten Software-Werkzeuge für rechnergestützte Analyse, Entwurf und Rapid Control Prototyping von Regelungen sind nachfolgend aufgeführt.
- MATLAB und Simulink, The MathWorks
- Durch zahlreiche Toolboxes ein sehr umfangreiches Softwarepaket für numerische Mathematik, für Simulation, Systemidentifikation, Reglerentwurf und Rapid Control Prototyping geeignet (kommerziell)
- Scilab, Institut National de Recherche en Informatique et en Automatique (INRIA)
- Ebenfalls sehr umfangreiches Softwarepaket für numerische Mathematik mit ähnlichem Konzept und ähnlicher Syntax wie MATLAB, für Simulation, Systemidentifikation und Rapid Control Prototyping geeignet (frei)
- CAMeL-View TestRig
- Entwicklungsumgebung zur Modellbildung von physikalischen Systemen mit dem Schwerpunkt Reglerentwurf und Rapid Control Prototyping sowie zur Anbindung an Versuchsstände (kommerziell)
- Maple
- Computeralgebrasystem (CAS), beherrscht numerische und symbolische Mathematik, besonders für manche Entwurfsverfahren der nichtlinearen Regelung geeignet (kommerziell)
- Mathematica, Wolfram Research, Inc.
- Umfangreiches Softwarepaket für numerische und symbolische Mathematik (kommerziell)
- dSPACE
- Integrierte Hard- und Software-Lösungen für die Anbindung von MATLAB an Versuchsstände (kommerziell)
- LabVIEW, National Instruments (NI)
- Integrierte Hard- und Software-Lösungen für die Rechnersteuerung von Versuchsständen (kommerziell)
- ExpertControl
- Software-Lösungen für vollautomatische Systemidentifikation und vollautomatische, modellbasierte Reglerauslegung für klassische Reglerstrukturen (PID-Regler) sowie Reglerstrukturen für Systeme höherer Ordnung (kommerziell)
- TPT
- Systematisches Testwerkzeug für Regelungssysteme, das neben der Simulation auch eine Ergebnisauswertung und Analysemöglichkeit bietet.
Alle aufgeführten Werkzeuge zeigen ein hohes Maß an Flexibilität bezüglich der Anwendung und der verwendbaren Reglerstrukturen.
Technische Anwendungen
- Bahntechnik
- In der Antriebsregelung treten vielfältige Regelungsprobleme auf, es sind beispielsweise Drehmoment und Geschwindigkeit zu regeln. An der U-Bahn Sendai wurde die Fuzzy-Regelung erfolgreich eingesetzt.
- Luftfahrt
- Regelungsprobleme treten in zahlreichen Komponenten von Flugzeugen auf, etwa in den Turbinen, aber auch bezogen auf die Flugdynamik. Beispiele für flugdynamische Regelungsprobleme sind die Kontrolle der Roll-, Gier-, und Nickwinkel, sowie der Autopilot.
- Energietechnik
- Stellungsregelung eines Stellventils mit Stellantrieb innerhalb einer Reglerkaskade. In Elektroenergienetzen sind Spannung und Frequenz netzweit zu halten. In jedem Kraftwerk werden Spannung und Frequenz lokal geregelt, so dass die Aufgabe mit dezentralen Reglern durch Variation der Regelleistung gelöst wird. Global werden lediglich die Leistungssollwerte der einzelnen Kraftwerke vorgegeben. Die Drehzahlregelung einer Dampfmaschine mit Fliehkraftregelung ist ein klassischer Anwendungsfall.
- Kraftfahrzeugtechnik
- Tempomat und Antiblockiersystem (ABS), aber auch elektronisches Stabilitätsprogramm sind bekannte Regelungen im Fahrzeugbereich, die auch als Fahrerassistenzsysteme bezeichnet werden. Auch Verbrennungsmotoren beinhalten vielfältige Regelkreise, beispielsweise für Leerlaufdrehzahl, Luftverhältnis, Klopfregelung. Moderne automatische Schaltgetriebe benötigen ebenfalls Regelkreise für die Synchronisation beim Schalten.
- Pipeline
- In Pipelines kommen vor allem vermaschte Regelungen vor, für Durchfluss, Druckregelung (Vordruck, Nachdruck) und Stellungsregelung einschließlich Grenzwertregelung.
- Robotik
- In der Fertigungsautomatisierung sind die Achsen der Fertigungsroboter zu positionieren. Hier spielen eine schnelle Beruhigungszeit und geringstes Überschwingen eine besonders große Rolle.
- Verfahrenstechnik
- In verfahrenstechnischen Prozessen treten Regelungsprobleme für jegliche chemische und physikalische Größen auf, die im betrachteten Prozess eine Rolle spielen. Beispiele sind die Regelung von Füllstand, Temperatur, pH-Wert und Sauerstoffgehalt eines Rührkessel-Reaktors oder das Konstanthalten von Stoff- bzw. Ionenkonzentrationen mit einem Chemostat.
- Wasserwirtschaft
- Zur Vermeidung von Überschwemmungen und Sicherung der Wasserversorgung sind unterlagerte Regelungen von Ketten von Talsperren bedeutsam. Der Füllstand eines einzelnen Stausees wird von einem übergeordneten Management vorgegeben und lokal geregelt.
- Elektroantrieb
- Bei Fahrzeugen mit elektrischem Antrieb werden Elektromotoren mit größeren Leistungen eingesetzt. Diese werden über eine Drehzahl- und Drehmomentregelung angesteuert.


© biancahoegel.de
Datum der letzten Änderung: Jena, den: 11.09. 2025


