IC50
Als mittlere inhibitorische Konzentration (IC50) wird die Konzentration eines Inhibitors bezeichnet, bei der eine halbmaximale Inhibition beobachtet wird.
In der Pharmakologie wird die IC50 verwendet, um die Wirkstärke eines Antagonisten anzugeben. Dieser ist vergleichbar mit der EC50 eines Agonisten.
Nach der Food and Drug Administration(FDA) ist die IC50 die Konzentration einer Substanz, die für eine 50%ige Inhibierung in vitro notwendig ist. Die EC50 gibt auch die Plasmakonzentration an, die notwendig ist, für einen 50%igen Effekt in vivo.
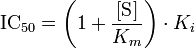
Abhängig ist die IC50 bzw. EC50 bei kompetitiven Inhibitoren von der Michaeliskonstante Km, der Dissoziationskonstante des Enzym-Inhibitor-Komplexes Ki und der Substratkonzentration [S]:
Da der IC50-Wert in Nanomolar (nM) oder Mikromolar (µM) angegeben wird und deshalb etwas unhandlich ist, wird auch der sogenannte pIC50-Wert verwendet. Er berechnet sich aus dem IC50-Wert durch Bildung des negativen dekadischen Logarithmus aus dem Zahlenwert der Konzentration in mol/l.
Beispiel:
Andere Zahlenwerte, beispielsweise IC95 geben die Konzentration an, die notwendig ist, um 95 % zu inhibieren.
Siehe auch


© biancahoegel.de
Datum der letzten Änderung: Jena, den: 23.11. 2023
![{\text{IC}_{50}}= \left(1+\frac{[\text{S}]}{K_m}\right) \cdot K_i](/png/73788a53e185a02bead077e854bd4e53.png)
