Auftrieb
Physikalische Erscheinung an einem festen Körper, der sich in einem flüssigen oder gasförmigen Medium befindet. Der Auftrieb ist in Form der Auftriebskraft meßbar.
Man unterscheidet statischen und dynamischen Aufftrieb.
Über Auftrieb verfügen prinzipiell alle Körper die von einem gasförmigen oder flüssigen Medium umgeben sind.
statischer Auftrieb
Statischer Auftrieb ist unabhängig davon, ob der Körper gegenüber dem ihn umgebenden Medium eine Relativgeschwindigkeit besitzt oder nicht, vorhanden. Die Auftriebskraft ist in diesem Fall der Schwerkraft entgegengesetzt gerichtet und mindestens gleich dem Gewicht der durch den Körper verdrängten Flüssigkeits- oder Gasmenge (Archimedisches Prinzip). Solange das Gewicht geringer ist als die Auftriebskraft steigt das Luftfahrzeug.
dynamischer Auftrieb
Der dynamische Auftrieb entsteht zusätzlich zum statischen Auftrieb, sobald der Körper eine Relativgeschwindigkeit zum Medium hat und eine bestimmte
auftriebserzeugende Form besitzt.
Er ist von Masse und Volumen des Körpers unabhängig und wirkt in jedem Fall senkrecht zur Anströmrichtung des Mediums. Die Größe der Auftriebskraft ist abhängig von der Form des Körpers (Profil), von seiner Lage im Medium (Anstellwinkel) und von seiner Relativgeschwindigkeit zum Medium sowie von der Dichte des Mediums. Er ist ein Ausdruck der Wirkung des Gesetzes von Bernoulli (Bernoullische Gleichung), wonach bei der Umströmung eines Körpers die statischen Druckverhältnisse im Medium verändert werden.
Die Auftriebskraft bildet zusammen mit der Widerstands- und Seitenkraft die einheitlich wirkende Luftkraftresultierende, die die Gesamtheit der statischen
Druckdifferenzen über der Fläche des umströmten Körpers darstellt. Der Auftrieb eines Flugzeugs setzt sich aus seinem statischen Auftrieb und dem
dynamischen Auftrieb zusammen. Da der statische Auftrieb eines Flugzeugs gegenüber dem dynamischen Auftrieb verschwindend klein ist, wird er bei der
Untersuchung der Flugbewegung vernachlässigt, so daß man hier unter Auftrieb stets nur den dynamischen Auftrieb versteht. Für den Unterschallbereich wird der
Auftrieb aus der Existenz einer Zirkulation am Tragflügel erklärt, welche Ursache der Druckdifferenz zwischen Profilunter- und
Oberseite ist.
Im Überschallbereich entscheidet die Lage von Verdichtungsstößen und
Verdünnungslinien über die für den Auftrieb erforderlichen Druckdifferenzen. Zur Ermittlung
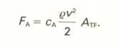
der Auftriebskraft am Flugzeug kann folgende Gleichung benutzt werden

Hierbei dienen der Auftriebsbeiwert (cA) und die charakteristische tragende Fläche (Atf) zur Darstellung der
Abhängigkeit des dynamischen Auftriebes von Form und Lage des Körpers.
Auftriebshilfen
Auftriebsbeiwert
| Physikalische Kennzahl | |||||||
|---|---|---|---|---|---|---|---|
| Name | Auftriebsbeiwert, Auftriebskoeffizient | ||||||
| Formelzeichen | |||||||
| Dimension | dimensionslos | ||||||
| Definition | |||||||
| |||||||
| Anwendungsbereich | Dynamischer Auftrieb | ||||||
In der Auftriebsgleichung die dimensionslose Größe cA. Sie ist charakteristisch für die ganz bestimmte Form eines Körpers und abhängig von Anstellwinkel und Anströmgeschwindigkeit. Die starken Schwankungen im transsonischen Bereich (Mkrit < M < 1) entsteht durch das örtliche Auftreten und die Wanderung von Verdichtungsstößen an der Ober- und Unterseite seines Profile. Die Form eines Tragflügels wird heute wesentlich durch seine Pfeilung (Pfeilwinkel) bestimmt. Bei gleicher Fläche ATF, gleicher mittlerer Tiefe und gleichem Profil ist der Auftriebsbeiwert von der Pfeilung abhängig. [vergl. Beiwert]
Wirbeltheorie
System von Lehrsätzen zum theoretischen Erfassen der Drehbewegung von Flüssigkeiten und
Gasen.
Die Rotation von Flüssigkeiten und Gasen unterliegt anderen Gesetzmäßigkeiten als die von festen
Körpern.
Während bei der Rotation des festen Körpers der
Quotient aus
Nach dieser Gesetzmäßigkeit müßte im Mittelpunkt einer rotierenden Flüssigkeit die Geschwindigkeit unendlich groß sein, was
praktisch nicht möglich ist. Dieser Widerspruch wird dadurch gelöst, daß jeder Wirbel, wie ein System rotierender Flüssigkeits
oder Gasteilchen bezeichnet wird, einen Wirbelkern besitzt, dessen Rotation den Gesetzen eines festen Körpers folgt. Das
Produkt aus Winkelgeschwindigkeit ω und Querschnittsfläche des Wirbelkerns α wird als Intensität I des Wirbels bezeichnet
( I = ω α ). Die doppelte Intensität wird als Zirkulation Γ (Γ = 2I) bezeichnet. Außerhalb des Wirbelkerns beträgt die Zirkulation einer
geschlossenen Wirbelkontur Γ = 2 π × r × vi.
Für die Nutzung der Wirbeltheorie sind die Helmholtzschen Wirbelsätze von besonderer Bedeutung;
der 1. Satz (räumlicher Erhaltungssatz) besagt, daß die Zirkulation entlang eines Wirbelfadens (räumliche Betrachtung erforderlich) konstant ist, woraus
folgt, daß ein Wirbelfaden in einem abgeschlossenen Flüssigkeitsgebiet nur als geschlossener Wirbelring oder aber als Hufeisenwirbel mit 2 in das Unendliche
ausgedehnten Schenkeln existieren kann;
der 2. Satz (zeitlicher Erhaltungssatz) sagt aus, daß die Zirkulation zeitlich unveränderlich ist, was bedeutet, daß
Wirbelfäden weder aus der Ruhe heraus entstehen, noch plötzlich verschwinden können.
Die Ursache der Entstehung von Wirbeln ist in der Reibungsspannung zwischen 2 Strömen mit starker Geschwindigkeitsdifferenz (nach Größe oder Richtung) zu
suchen, so z. B., wenn sich die Ströme von Tragflügelunter- und -Oberseite an der Tragflügelhinterkante treffen.
Im Jahre 1906 wies N.J. Schukowski nach, daß die Zirkulation Voraussetzung für das Vorhandensein einer Auftriebskraft am Profil ist
(FA = α∞ × v∞ × Γ × b) und daß somit der am Tragflügel bei seiner Umströmung entstehende
Wirbel die Ursache der Auftriebskraft darstellt.

© biancahoegel.de;
Datum der letzten Änderung: Jena, den: 11.08. 2021