Beiwert
In der Aerodynamik verwendete dimensionslose Größe
(Koeffizient) zur
Charakterisierung der Luftkräfte und deren Momente an Umströmungskörpern. Die Kenntnis der Beiwerte unterschiedlicher
Umströmungskörper gestattet einen exakten qualitativen Vergleich ihrer aerodynamischen Eigenschaften ohne Kenntnis ihres Aussehens.
Die bekanntesten Beiwerte sind:
- Auftriebsbeiwert (cA);
- Widerstandsbeiwert (cW);
- Momentenbeiwert (cM);
Daneben werden jedoch weitere Beiwerte verwendet wie:
- Druckbeiwert (cP) zur Charakterisierung der Druckkräfte;
- Reibungsbeiwert (cR) zur Chakterisierung der Reibungskräfte
Beiwerte werden im Versuch ermittelt.
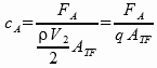
Der Auftriebsbeiwert eines Tragflügesl mit der charakteristischen tragenden Fläche (ATF) wird anhand der
Gleichung
im
Windkanalversuch ermitelt, indem an ihm bei gegebener Anblasgeschwindigkeit (v) und
Luftdichte (
) mit Hilfe einer aerodynamischen Waage die Auftriebskraft gemessen wird.
Die Luftkräfte und deren Momente und somit die Beiwerte sind außer von Geschwindigkeit und Luftdichte noch von vielen anderen Faktoren abhängig, so z.B. von der Lage des Körpers im Strom, der Form des Körpers, seiner Oberflächenrauhigkeit u.a.. Diese Abhängigkeiten werden in Diagrammen dargestellt.

Datum der letzten Änderung : Jena, den: 13.03. 2021