Potenzmenge
Als Potenzmenge bezeichnet man in der Mengenlehre die Menge aller Teilmengen einer gegebenen Grundmenge.
Man notiert die Potenzmenge einer Menge
meist als
.
Das Wesen der Potenzmenge wurde schon von Ernst
Zermelo untersucht. Der kompakte Begriff „Potenzmenge“ hingegen – der
sich in dem Zusammenhang mit der arithmetischen Potenz
anbietet – wurde auch von Gerhard
Hessenberg in seinem Lehrbuch von 1906 noch nicht benutzt; er verwendet
dafür die Wortverbindung „Menge der Teilmengen“.
Definition
Die Potenzmenge
einer Menge
ist eine neue Menge, die aus allen Teilmengen
von
besteht. Die Potenzmenge ist also ein Mengensystem,
das heißt, eine Menge, deren Elemente selbst Mengen sind. In Formelschreibweise
lautet die Definition einer Potenzmenge
.
Dabei ist zu beachten, dass auch die leere
Menge
und die Menge
Teilmengen von
sind, also Elemente der Potenzmenge
.
Andere gebräuchliche Notationen für die Potenzmenge sind
und
.
Beispiele
Strukturen auf der Potenzmenge
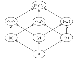
Partielle Ordnung
Die Inklusionsrelation
ist eine Halbordnung
auf
(und keine Totalordnung,
wenn
mindestens zwei Elemente hat). Das kleinste Element der
Ordnung ist
,
das größte
Element ist
.
Vollständiger Verband
Die Halbordnung
ist ein vollständiger
Verband.
Dies bedeutet, dass es zu jeder Teilmenge von
ein Infimum
und ein Supremum
(in
)
gibt. Konkret ist für eine Menge
das Infimum von
gleich dem Durchschnitt
der Elemente von
,
und das Supremum von
ist gleich der Vereinigung
der Elemente von
,
also
Das größte und das kleinste Element erhält man als Infimum bzw. Supremum der leeren Menge, also
Boolescher Verband
Zieht man noch die Komplementabbildung
heran, ist
ein boolescher
Verband, also ein distributiver
und komplementärer
Verband.
Kommutativer Ring
Jeder boolesche Verband induziert eindeutig eine kommutative Ringstruktur,
den sogenannten booleschen
Ring. Hier auf
ist die Ringaddition gegeben durch die symmetrische
Differenz von Mengen, die Ringmultiplikation ist der Durchschnitt. Die leere
Menge ist neutral für die Addition und
ist neutral für die Multiplikation.
Charakteristische Funktionen
Jeder Teilmenge
kann man die charakteristische
Funktion
zuordnen, wobei gilt
Diese Zuordnung ist eine Bijektion zwischen
und
(wobei die Notation
für die Menge aller Funktionen von
nach
benutzt wird). Dies motiviert für
auch die Schreibweise
,
denn in von
Neumanns Modell der natürlichen Zahlen ist
(allgemein:
).
Die Korrespondenz
ist zunächst eine reine Bijektion, lässt sich aber leicht als Isomorphismus bezüglich
jeder der oben betrachteten Strukturen auf der Potenzmenge nachweisen.
Die Größe der Potenzmenge (Kardinalität)
bezeichnet die Mächtigkeit
einer Menge
.
- Für endliche
Mengen
gilt:
.
- Stets gilt der Satz
von Cantor:
.
Der Übergang zur Potenzmenge liefert also immer eine größere Mächtigkeit.
Analog zu endlichen Mengen schreibt man auch
für die Mächtigkeit
der Potenzmenge einer unendlichen Menge
.
Die verallgemeinerte
Kontinuumshypothese (GCH) besagt für unendliche Mengen
,
dass
die nach
nächstgrößere Mächtigkeit ist:
Beschränkung auf kleinere Teilmengen
Mit
wird die Menge derjenigen Teilmengen von
bezeichnet, die weniger als
Elemente enthalten. Beispielsweise ist
:
Die Menge
selbst fehlt, da sie nicht weniger als
Elemente hat.
Potenzklasse
Der Begriff der Potenzmenge lässt sich auf Klassen
erweitern, wobei zu beachten ist, dass echte Klassen nicht auf der linken Seite
der Enthaltenseins-Relation
stehen können. Die Potenz (Potenzklasse) einer Klasse K ist gegeben durch die
Klasse aller Mengen, deren Elemente alle in K enthalten sind. Die
Elemente der Potenzklasse von K sind also die Teilmengen von K. Die
Potenz einer echten Klasse K ist wieder eine echte Klasse, denn sie enthält die
Einermengen
{x} zu allen Elementen x von K. Sie enthält immer die Leermenge ∅, aber
nicht die echte Klasse K selbst.
Sonstiges
- Die Existenz der Potenzmenge zu jeder Menge wird in der Zermelo-Fraenkel-Mengenlehre als eigenes Axiom gefordert, nämlich durch das Potenzmengenaxiom.
- Ein Mengensystem
wie beispielsweise eine Topologie
oder eine σ-Algebra
über einer Grundmenge
ist eine Teilmenge der Potenzmenge
, also ein Element von
.
Literatur
- Oliver Deiser: Einführung in die Mengenlehre. Die Mengenlehre Georg Cantors und ihre Axiomatisierung durch Ernst Zermelo. 2., verbesserte und erweiterte Auflage. Springer, Berlin u.a. 2004, ISBN 3-540-20401-6.


© biancahoegel.de
Datum der letzten Änderung: Jena, den: 02.01. 2021