Hasse-Diagramm
In der Mathematik ist ein Hasse-Diagramm (auch Ordnungs- oder einfach Liniendiagramm genannt) eine bestimmte graphische Darstellung endlicher halbgeordneter Mengen. Solche Diagramme werden nach dem Mathematiker Helmut Hasse benannt.
Das Hasse-Diagramm für eine Halbordnung
ergibt sich als Darstellung eines gerichteten
Graphen, wobei die Elemente von
die Knoten
bilden. Zwei Knoten
und
werden durch eine Kante
verbunden, wenn
gilt und es keinen Knoten
gibt mit
(Hierbei ist
als
und
zu verstehen.) Die Einschränkung auf solche
>
nennt man transitive
Reduktion der Halbordnung. Die Richtung der Kante wird dadurch zum Ausdruck
gebracht, dass sich der Knoten
oberhalb von
befindet. Solch eine Anordnung lässt sich erreichen, da das Hasse-Diagramm
zyklenfrei ist. Schleifen
bei Reflexivität
werden weggelassen.
Manchmal werden Hasse-Diagramme auch verwendet, um Striktordnungen (Ordnungsrelationen zweiter Art) darzustellen.
Beispiele
Teilerverband
Die Teiler einer natürlichen Zahl lassen sich mittels eines Hasse-Diagramms darstellen, da sie bezüglich der Teilbarkeitsrelation eine halbgeordnete Menge, den Teilerverband, bilden. Das Diagramm heißt in diesem Falle auch Teilerbild. Das folgende Bild zeigt das Hasse-Diagramm der Teiler von 60.

Partitionen
Die Menge der Partitionen der Menge {1, 2, 3, 4} mit der Feinheit als Halbordnung.

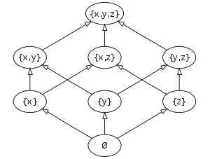
Potenzmenge
Die -elementige
Potenzmenge einer
-elementigen
Menge mit der Mengeninklusion lässt sich als Hasse-Diagramm darstellen. Dabei
bilden die Elemente der Potenzmenge die Knoten und zwei Elemente sind durch eine
Kante verbunden, wenn sie in einer Teilmengenrelation stehen. Die durch den
untersten Knoten dargestellte leere
Menge ist eine Teilmenge aller Elemente; das durch den obersten Knoten
dargestellte Universum
ist eine Obermenge aller Elemente.
Besonders übersichtlich und verbreitet ist die Anordnung der Mengen, die gleich viele Elemente enthalten, in derselben Ebene des Hasse-Diagramms. Ebenso ist es üblich und empfehlenswert, die Mengen in den Ebenen von links nach rechts lexikographisch zu ordnen.
Ein kleines Beispiel für ein Hasse-Diagramm einer Potenzmenge liefert die
Menge :

Ein etwas aufwändigeres Diagramm erhält man mit der sechzehnelementigen Potenzmenge einer vierelementigen Menge. Sie ist von besonderer Bedeutung für Aussagenlogik und Mengenlehre. Ihre in der beschriebenen Weise naheliegendste Darstellung ist die linke der drei Grafiken, die den rhombendodekaedrischen dreidimensionalen Schatten des vierdimensionalen Würfels zeigt. Die beiden anderen Grafiken rechts der rhombendodekaedrischen zeigen ebenfalls mögliche Hasse-Diagramme der Potenzmenge einer vierelementigen Menge, die für manche Zwecke besser geeignet sein können als die Schichtung nach der Anzahl der Elemente. Graphische Darstellungen, die für alle Zwecke gleichermaßen ideal sind, gibt es nicht. So müssen geeignete Hasse-Diagramme in der Auseinandersetzung mit einem bestimmten Thema oft erst gefunden werden.
![]() |
![]() |
|


© biancahoegel.de
Datum der letzten Änderung: Jena, den: 19.06. 2021

