Verband (Mathematik)
Ein Verband ist in der Mathematik
eine Struktur,
die sowohl als Ordnungsstruktur
als auch als algebraische
Struktur vollständig beschrieben werden kann. Als Ordnungsstruktur ist ein
Verband dadurch gekennzeichnet, dass es zu je zwei Elementen ,
ein Supremum
gibt, d.h. ein eindeutig bestimmtes kleinstes Element, das größer oder
gleich
und
ist, und umgekehrt ein Infimum
,
ein größtes Element, das kleiner oder gleich
und
ist. Als algebraische Struktur ist ein Verband dadurch gekennzeichnet, dass es
zwei assoziative
und kommutative
Operationen gibt, für die die Absorptionsgesetze kennzeichnend sind: Für
beliebige Elemente gilt
und
.
Für jede in der Verbandstheorie vorkommende algebraische Aussage gibt es eine direkte Übersetzung in eine Ordnungsaussage und umgekehrt. Diese Übersetzung ist in den meisten Fällen auch anschaulich nachzuvollziehen. Die Möglichkeit, Ergebnisse doppelt zu interpretieren und dadurch besser zu verstehen, macht die Untersuchung und die Verwendung von Aussagen aus der Verbandstheorie so interessant. Der Begriff Verband wurde im hier beschriebenen Sinne von Fritz Klein-Barmen geprägt.
Obwohl diese doppelte Charakterisierung auf den ersten Blick sehr speziell aussieht, treten Verbände häufig auf:
- die z.B. in der Mengenlehre, der Logik und als Schaltalgebren auftretenden Booleschen Algebren sind Verbände.
- totale
Ordnungen, die z.B. in den verschiedenen Zahlbereichen wie
(natürliche Zahlen),
(ganze Zahlen),
(rationale Zahlen) oder
(reelle Zahlen) auftreten, sind Verbände.
- für jede beliebige natürliche Zahl ist die Menge der Teiler (durch die Teilbarkeit geordnet) ein Verband.
- die Unterstrukturen einer beliebigen algebraischen oder sonstigen Struktur bilden einen Verband mit der Teilmengenrelation als Ordnung.
In der Literatur sind auch die Symbole
und
verbreitet. Diese Notation wird hier aufgrund von technischen Einschränkungen
nicht verwendet.
Präzisierung
Verbände als algebraische Strukturen
Ein Verband
ist eine Menge
mit zwei inneren
binären Verknüpfungen
(Vereinigung, engl. join) und
(Durchschnitt, engl. meet), die folgenden Bedingungen für alle
,
,
aus
genügen:
,
.
,
.
Absorptionsgesetze:
,
.
Aus diesen Bedingungen folgt die Idempotenz beider Verknüpfungen:
,
.
ist also bezüglich jeder einzelnen Verknüpfung ein Halbverband,
d.h. eine kommutative Halbgruppe,
in der jedes Element idempotent ist. Die Verknüpfungen treten bei den
Absorptionsgesetzen in Wechselwirkung.
Verbände als Ordnungsstrukturen
Man kann nach einer Idee von Leibniz
auf
eine Halbordnung
definieren durch:
Mit dem Absorptionsgesetz erkennt man die Gültigkeit der Äquivalenzen
Bezüglich dieser Halbordnung hat jede zweielementige Teilmenge
ein Supremum
(obere Grenze)
und ein Infimum
(untere Grenze)
.
Dabei ist ein Element
ein Supremum von
,
wenn gilt:
und
(d.h.
ist obere Schranke).
- Aus
und
folgt
(d.h.
ist die kleinste obere Schranke).
Analoges gilt für das Infimum .
Man kann per Induktion
zeigen, dass jede nichtleere endliche Teilmenge ein Supremum und ein Infimum
hat. Man schreibt allgemein das Supremum einer Menge
als
,
und das Infimum von
als
,
falls diese existieren.
Umgekehrt kann man für eine halbgeordnete Menge, bei der jede zweielementige Teilmenge ein Infimum und ein Supremum hat, definieren:
und
.
Die beiden Verknüpfungen erfüllen dann die Verbandsaxiome, wie man leicht nachrechnet.
Hasse-Diagramme für einige Beispiele
Eine endliche halbgeordnete Menge
kann man durch einen gerichteten Graphen
darstellen, den man Hasse-Diagramm nennt.
Wenn man den Graph so anordnet, dass alle Kanten von unten nach oben gerichtet sind, dann kann man die Ordnung leicht sehen:
ist dann gleichwertig mit:
ist durch einen (nach oben führenden) Kantenzug mit
verbunden.







Spezielle Elemente in Verbänden
Neutrale Elemente
Falls die Verknüpfung
ein neutrales
Element
hat,
dann ist es eindeutig bestimmt und man nennt es das Nullelement des
Verbandes. Bzgl.
ist
absorbierend
und bzgl. der Ordnung das kleinste Element:
und
Man nennt den Verband dann nach unten beschränkt.
Falls die Verknüpfung
ein neutrales Element
hat,
dann ist es eindeutig bestimmt und man nennt es das Einselement des
Verbandes. Bzgl.
ist
absorbierend und bzgl. der Ordnung das größte Element:
und
Man nennt den Verband dann nach oben beschränkt.
Ein Verband heißt beschränkt, wenn er nach unten und nach oben beschränkt ist, also für beide Verknüpfungen ein neutrales Element hat.
Komplementäre Elemente
Für ein gegebenes Element
eines beschränkten Verbandes nennt man ein Element
mit der Eigenschaft
und
ein Komplement von .
Ein beschränkter Verband, in dem jedes Element (mindestens) ein Komplement hat, heißt komplementärer Verband.
Im Allgemeinen kann es zu einem Elemente mehrere komplementäre Elemente geben.
Es gilt aber: In einem distributiven
beschränkten Verband ist das Komplement eines Elements
im Falle seiner Existenz eindeutig bestimmt. Man schreibt es oft als
(vor allem bei Teilmengenverbänden),
(vor allem bei Anwendungen in der Logik) oder
.
In jedem beschränkten Verband gilt
.
In einem distributiven beschränkten Verband gilt: Falls
ein Komplement
hat, dann hat auch
ein Komplement, nämlich:
.
Spezielle Verbände
Modulare Verbände
Ein Verband
heißt modular, falls gilt:
für alle
.
Für einen Verband
sind wiederum jeweils äquivalent:
ist modular.
für alle
.
für alle
.
für alle
.
Ein nicht modularer Verband enthält immer den Verband
als Unterverband.
Distributive Verbände
Im Folgenden meinen wir mit dem Verband
stets den Verband
.
Ein Verband
heißt distributiv, wenn die Verknüpfungen in doppelter Hinsicht distributiv sind:
für alle
und
für alle
.
Da diese beiden Aussagen zueinander äquivalent sind, genügt es, die Gültigkeit eines dieser beiden Distributivgesetze zu verlangen.
Jeder distributive Verband ist modular, aber nicht umgekehrt. Ein modularer
Verband, der nicht distributiv ist, enthält immer den Verband ,
den Verband der Untergruppen der Kleinschen
Vierergruppe als Unterverband.
Dies ergibt den Test: hat ein Verband weder einen Unterverband der Form
noch einen der Form
,
dann ist er distributiv.
Distributive Verbände sind auch anders zu charakterisieren, denn Garrett Birkhoff (1933) und Marshall Harvey Stone (1936) haben gezeigt:
- Ein Verband ist genau dann distributiv, wenn er isomorph zu einem Mengenverband ist.
Boolesche Algebren
Ein distributiver komplementärer Verband heißt Boolesche Algebra oder Boolescher Verband;
Eine weitere Verallgemeinerung, bei der statt Komplementen nur relative Pseudokomplemente gefordert werden, heißt Heyting-Algebra.
Vollständige Verbände
Ein Verband
heißt vollständig, wenn jede (auch die leere ebenso wie gegebenenfalls unendliche) Teilmenge ein
Supremum und ein Infimum hat.
Es genügt, für jede Teilmenge
die Existenz des Supremums zu verlangen, denn es ist
Jeder vollständige Verband
ist beschränkt mit
und
Jeder endliche, nichtleere Verband
ist vollständig, also auch beschränkt.
Längenendliche Verbände
Wenn jede bezüglich der Ordnung totalgeordnete Teilmenge (Kette) endlich ist, nennt man den Verband längenendlich. Für viele Beweise innerhalb der Verbandstheorie muss ein Verband nicht endlich sein, sondern es reicht, wenn er längenendlich ist.
Kompakte Elemente und algebraische Verbände
Man nennt ein Element
eines vollständigen Verbandes
kompakt (nach der verwandten Eigenschaft kompakter
Räume in der Topologie),
wenn jede Teilmenge
von
mit
eine endliche Teilmenge
enthält, für die gilt:
Ein Verband
heißt algebraisch, wenn er vollständig ist und wenn jedes Element von
das Supremum von kompakten Elementen ist.
Dualität in Verbänden
Vertauscht man in einem Verband
die beiden Verknüpfungen
und
,
erhält man eine neue Struktur
.
Man nennt
die duale Struktur.
Ersetzt man in einer beliebigen Formel
der Sprache der Verbandstheorie und setzt überall die beiden Zeichen
und
wechselseitig füreinander ein und ersetzt außerdem überall 0 durch 1 und
umgekehrt, dann nennt man die entstandene Formel
die duale Formel von
.
Offensichtlich gelten in dem zu
dualen Verband
die dualen zu den in
gültigen Formeln. Da in der Definition eines Verbands zu jeder Formel auch die
duale Formel vorkommt, folgt, dass
ebenfalls ein Verband ist, der als der zu
duale Verband bezeichnet wird.
Aus dieser Beobachtung folgt:
- Gilt eine Formel in allen Verbänden, dann gilt auch ihre duale Formel in allen Verbänden.
Das Modularitätsgesetz ist selbstdual und die beiden Distributiv-Gesetze sind zueinander dual und die beiden Komplementärgesetze sind zueinander dual. Daher gilt entsprechend:
- Gilt eine Formel in allen modularen oder in allen distributiven Verbänden oder in allen Booleschen Algebren, dann gilt auch die duale Formel in den entsprechenden Verbänden.
Unterstrukturen
Unterverbände
Ein Unterverband von
ist eine Teilmenge
,
die mit den eingeschränkten Verknüpfungen von
ein Verband ist, d.h. es liegen
und
in
für alle
aus
Teilverbände
Ein Teilverband von
ist eine Teilmenge
,
die ein Verband ist, d.h.
ist eine halbgeordnete Menge mit Supremum und Infimum für endliche
Teilmengen.
Natürlich ist jeder Unterverband ein Teilverband, aber nicht umgekehrt.
Hier ist eine der wenigen Stellen, wo man den Unterschied in der Betrachtungsweise merkt: Für Verbände als Ordnungsstrukturen sind alle Teilverbände Unterstrukturen, für Verbände als algebraische Strukturen sind nur die Unterverbände Unterstrukturen.
Man geht weder bei Teilverbänden noch bei Unterverbänden davon aus, dass die
neutralen Elemente in der Unterstruktur erhalten bleiben. Sonst muss man
ausdrücklich von einem Verband mit
und
reden.
Ideale und Filter
Ein Ideal
ist ein Unterverband eines Verbandes
,
der zusätzlich folgende Bedingung erfüllt: sind
und
,
dann ist
.
(Die Definition entspricht also formal der Definition, die man in einem Ring
erwartet).
Bezüglich der Halbordnung auf
gilt aber
.
Daher kann man die Definition auch so interpretieren:
- Ein Ideal ist ein Unterverband, der zusammen mit einem Element
auch alle Elemente von
enthält, die kleiner als
sind.
Filter werden dual zu Idealen definiert:
- Ein Filter ist ein Unterverband, der zusammen mit einem Element
auch alle Elemente von
enthält, die größer als
sind.
Homomorphismen
Sind
und
zwei Verbände und
eine Funktion,
sodass für alle
aus
gilt
dann heißt
Verbandshomomorphismus. Ist
zusätzlich bijektiv,
dann heißt
Verbandsisomorphismus und die Verbände
und
sind isomorph.
Falls
und
vollständig sind und
sogar
für alle
erfüllt, nennt man
einen vollständigen Verbandshomomorphismus. Jeder vollständige
Verbandshomomorphismus ist offensichtlich auch ein Verbandshomomorphismus.
Die Klasse aller Verbände bildet mit diesen Homomorphismen jeweils eine Kategorie.
Ein Verbandshomomorphismus ist gleichzeitig ein Ordnungshomomorphismus, d.h. eine isotone Abbildung:
- aus
folgt
Jedoch ist nicht jede isotone Abbildung zwischen Verbänden ein Verbandshomomorphismus.
In beschränkten Verbänden gilt: Die Menge der Elemente von
die durch einen Verbandshomomorphismus auf das Nullelement des Bildes abgebildet
werden, bilden ein Ideal von
und dual, die Menge der Elemente, die auf das Einselement abgebildet werden,
bilden einen Filter.
Weitere Beispiele für Verbände
Total geordnete Mengen
Jede total
geordnete Menge
ist ein distributiver Verband mit den Verknüpfungen Maximum
und Minimum. Insbesondere
gilt für alle
,
,
aus
:
,
.
Nur im Fall einer ein- oder zweielementigen Menge
ist der Verband komplementär.
Beispiele für die übrigen Eigenschaften:
- Das abgeschlossene reelle Intervall
und die erweiterte reelle Gerade (
mit
und
) sind jeweils vollständige distributive Verbände (und damit beschränkt).
- Das offene reelle Intervall
, die Mengen
,
und
sind jeweils unvollständige unbeschränkte distributive Verbände.
- Das rationale
Intervall
ist ein unvollständiger beschränkter distributiver Verband.
- Die Menge
ist ein unvollständiger distributiver Verband mit Nullelement
.
Teilerverbände
Betrachtet man für eine natürliche Zahl
die Menge
aller Teiler von
,
dann ist
ein vollständiger distributiver Verband mit Einselement
(neutralem Element für ggT)
und Nullelement
(neutralem Element für kgV).
Er heißt Teilerverband von
.
Die Absorptionsgesetze und Distributivgesetze für ggT und kgV folgen dabei
z.B. mit der Primfaktorzerlegung
aus den Eigenschaften von max und min, man kann sie aber auch durch
Teilbarkeitsbetrachtungen herleiten. Der Verband ist genau dann komplementär
(und damit boolesch),
wenn
quadratfrei ist, d.h. wenn
keine Quadratzahl
als Teiler hat. Die Halbordnung auf
ist die Teiler-Relation:
genau dann, wenn
(genau dann, wenn
).


.svg.png)


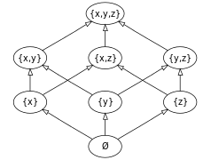
Teilmengenverbände
Für eine Menge
bildet die Potenzmenge
mit den Verknüpfungen Vereinigung
und Durchschnitt
einen algebraischen booleschen Verband mit Nullelement
(neutrales Element bezüglich
)
und Einselement
(neutrales Element bezüglich
)
sowie Komplement
für alle
.
Er heißt Potenzmengen- oder Teilmengenverband von
.
Die Halbordnung auf
ist die Mengeninklusion:
falls
(oder äquivalent dazu
)
(Trägermengen von) Unterverbände(n) von
heißen Mengenverbände
(zwischen den Verbänden und ihren Trägermengen wird oft nicht unterschieden).
Diese Verbände sind immer distributiv, müssen jedoch weder vollständig sein,
noch neutrale Elemente oder Komplemente haben. (Ein Beispiel dafür ist der
Verband der rechts-unendlichen reellen Intervalle
mit
aus
,
der isomorph zum Verband der reellen Zahlen ist.)
Unterstrukturenverbände von algebraischen Strukturen, Untergruppenverbände
Für eine Gruppe
bildet die Menge
aller Untergruppen von
einen algebraischen (im Allgemeinen nicht modularen und damit auch nicht
distributiven) Verband mit den Verknüpfungen Erzeugnis der Vereinigung
und Durchschnitt. Er heißt Untergruppenverband von
.
Beispielsweise ist der Untergruppenverband der kleinschen
Vierergruppe, der gerade dem Verband
entspricht, nicht-distributiv, aber modular.
Ebenso bilden
- die normalen Untergruppen einer Gruppe,
- die Untergruppen einer abelschen Gruppe,
- die Unterringe eines Ringes,
- die Unterkörper eines Körpers,
- die Untermoduln eines Moduls,
- die Ideale eines Ringes
mit analogen Verknüpfungen einen modularen algebraischen Verband. Die Untergruppen einer beliebigen Gruppe und die Unterverbände eines beliebigen Verbands ergeben zwar immer einen algebraischen Verband, dieser muss aber nicht modular sein.
Ganz allgemein bilden die Unterstrukturen einer algebraischen Struktur stets einen algebraischen Verband (wobei auch die leere Menge als Unterstruktur betrachtet wird, falls der mengentheoretische Durchschnitt – also das Infimum bezüglich der Mengeninklusion – von der Menge aller Unterstrukturen leer ist).
Insbesondere ist ein Verband genau dann algebraisch, wenn er isomorph ist zum Verband der Unterstrukturen einer algebraischen Struktur (daher auch der Name algebraischer Verband).
Schränkt man die Menge der Untergruppen auf Obergruppen einer festen
Untergruppe
ein, so bilden alle diese Zwischengruppen
auch einen beschränkten Verband. Analog dazu gibt es Verbände von
Zwischenringen, Zwischenkörpern, Zwischenmoduln, Zwischenidealen.
Besonderes Interesse hat man am Untergruppenverband der Galoisgruppe einer
galoisschen Körpererweiterung
,
denn er ist isomorph zum dualen Zwischenkörperverband von
.


© biancahoegel.de
Datum der letzten Änderung: Jena, den: 05.10. 2019