Wissenswertes

Hinweis zu Gesundheitsthemen
Dieser Artikel behandelt ein Gesundheitsthema. Er dient nicht der Selbstdiagnose und ersetzt nicht eine Diagnose durch einen Arzt. Bitte hierzu den Hinweis zu Gesundheitsthemen beachten!
Hinweis zu Rechtsheitsthemen
Bitte den Hinweis zu Rechtsthemen beachten!

Lexikon 1 - 10
Lexikon A - E
Lexikon F - J
Lexikon K - P
Lexikon Q - T
Lexikon U - Z


Lexikon verlassen

1 2 3 4 5     A B C D E F G H I J K L M N O P Q R S T U V W X Y Z


 Trenner

Q

 
Top
 
Trenner

R

RAeS
Royal Aeronautical Society
Königlich-britische Gesellschaft für Luftfahrt mit Sitz in London. Beschäftigt sich mit Fragen der Luft- und Raumfahrtforschung.
 
Radio Magnetic Indicator (RMI)
RMI-Anzeige Kombiniertes Anzeigegerät für bestimmte Funknavigationsanlagen (Funkkompaß, VOR) und die Kompaßanlage.
Das Gerät hat eine Kompaßrose, die gegenüber einer luftfahrzeugfesten Marke von der Kompaßanlage eingestellt wird.
Die beiden Zeiger des RMI werden zur Kompaß- bzw. VOR-Anzeige benutzt, so daß sie die Peilwinkel relativ zur Kompaßrose anzeigen.
 
Raketentriebwerk
Antriebsanlage aus der Gruppe der Strahltriebwerke deren Wirkungsweise auf dem Impulsprinzip beruht.
 
RAF
Royal Air Force
Königliche Luftwaffe Großbritanniens
 
RAAF
Royal Australien Air Force
Königliche Australische Luftwaffe
 
Ramjet
Staustrhltriebwerk mit Unterschallverbrennung.
 
RCAF
Royal Canadian Armed Force
 
Raum
Der Raum ist eine Art „Behälter“ für Materie und Felder, in dem sich alle physikalischen Vorgänge abspielen. Dieses bewusst etwas unpräzise Verständnis des Begriffes „Raum“ ist seit Isaac Newton allgemein verbreitet und wurde erst durch Einstein infrage gestellt.
Dem entspricht, dass man in der menschlichen Erfahrung „ja schon immer weiß, was der Raum ist“, z. B. dass er durch die drei zueinander orthogonalen Dimensionen Höhe, Breite und Tiefe bzw. Abstand, Richtung und Höhe bestimmt ist. Raum ermöglicht allen materiellen Objekten eine Ausdehnung, er selbst existiert als grundlegendes Ordnungsmodell „a priori von den darin vorhandenen Objekten“, nach heutigem Verständnis aber nur in Relation zu ihnen. Wenn der Raumbegriff in diesem Sinne gebildet wird, hat es keinen Sinn, von einem „leeren“ Raum zu sprechen.
Zur physikalischen Beschreibung werden formale Eigenschaften verschiedener mathematischer Räume, meistens des euklidischen Raumes benutzt. Der Begriff des Raums hat sich in der Geschichte der Physik stark gewandelt.
 
Reichweite
 
Reflexion
Reflexion (lat.: reflectere, dt. zurückbeugen, drehen) bezeichnet in der Physik das Zurückwerfen von Wellen an einer Grenzfläche, an der sich der Wellenwiderstand oder der Brechungsindex des Ausbreitungsmedium ändert. [...mehr]
 
Refraktion
1. Fachausdruck für die Lichtbrechung.
2. In Bezug auf das Auge: Verhältnis des Gesamtbrechungszustandes aller optisch wirksamen Teile des Auges zur Achsenlänge des Auges.
 
Reibungswiderstand
Der Reibungswiderstand ist die Kraft, die durch Reibung hervorgerufen wird und die Bewegung eines Körpers hemmt. Entsteht Reibung durch Flüssigkeiten oder Gase, siehe Schubspannungswiderstand.
Bei Maschinen sorgt der Reibungswiderstand oft für Verschleiß an verschiedenen beweglichen Teilen. Um dies zu vermindern, werden oft Schmiermittel und Wälzlager verwendet.
 
Relativ
verhältnismäßig, verglichen mit etwas, bezogen auf.
 
Reporting Point
Spezifischer geografischer Punkt, mit dem ein Flugzeug seine Lokalisierung angibt. (Waypoint)
 
Reynoldsche Zahl
Kennwert, der Flüssigkeits- und Gasströmungen charakterisiert und nach dem britischen Physiker Osborne Reynolds (1842 - 1912) benannt wurde. Die Reynoldsche zahl stellt das Verhältnis der Trägheistkraft zu den Zähigkeitskräften an einem Körper im untersuchten Medium dar. Ist bei geometrisch ähnlichen Körpern die Reynoldsche Zahl gleich, so sind auch deren Beiwerte zum Ermitteln von Kräften gleich, was eine Grundbedingung für Strömungsversuche an Modellen darstellt. [...mehr]
 
RINT
Strahlungsaufklärung
 
Rückdrehmoment
Reaktionsmoment an den Lagern einer Welle, das auftritt, wenn ein Drehmoment übertragen wird.
 
RR
Rolls-Royce
 
Rückstreuung
Entfernungsbestimmung mit dem Impulsverfahren. Das Pulsradargerät sendet einen Impuls und misst die Zeit bis zum Empfang des Echos.
Rückstreuung (engl. Backscatter oder Backscattering) bezeichnet den Anteil einer Welle oder eines Partikelstroms, den ein getroffenes Objekt in die Richtung der Quelle zurückwirft. Beispiel: ein Radar sendet einen stark gebündelten Puls Richtung Flugzeug. Dessen unregelmäßige Hülle streut das Signal in alle Richtungen und nur ein kleiner Teil gelangt wieder zur Radar-Station, die Rückstreuung ist gering. Hohe Rückstreuung erzielt man durch Tripelspiegel und Katzenaugen. Der Begriff findet in vielen Bereichen der Wissenschaft, unter anderem in der Elektrotechnik, der Physik oder der Astronomie, Anwendung.
 
Rollfeld
Teil des Flufplatzes, der für Start und Landungen sowie die damit verbundenen Rollbewegungen von Luftfahrzeugen zu benutzen ist. Die Vorfelder gehören nicht dazu
 
Rotor
Im weitesten Sinne Bezeichnung für sich drehende Bauteile, die unter Berücksichtigung der Strömung gestalltet sind und mit deren Hilfe Energie (in Form von Wellenleistung) an ein Strömungsmedium (Gas oder Flüssigkeit) übertragen bzw. einem Strömungsmedium Energie entzogen wird und in Wellenleistung umgewandelt wird.
 
Rotorflügel
siehe Tragschraube
 
Rotorflugzeug
siehe Rotorflugzeug oder Hubschrauber.
 
RWR
Radar-Warnempfänger
 
Rumpftrennstelle
Verbindungsglied zwischen Rumpfvorder- und -hinterteil.
Zur Gewährleistung der richtigen aerodynamischen Komposition des Flugzeuges nach einem Trenn- und Zusammenbauvorgang muß der Rumpftrennstelle eine genaue Fixierung der Lage beider Teile zueinander ergeben. Weiterhin muß die Befestigung von Rumpfvorder- und -hinterteil an der Rumpftrennstelle einerseits leicht lösbar sein, um z.B. die Arbeiten für einen Triebwerkswechsel so einfach wie möglich zu gestalten, andererseits muß sie so stabil sein, daß auch bei höchsten Biege- und Torsionsbelastungen keine Verschiebung der beiden Rumpfteile zueinander auftreten können.
Top
 
Trenner

S

Salpeter
Historische und umgangangssprachliche Bezeichnung für Salze der Salpetersäure>. siehe Nitrate
 
SAM
Boden-Luft-Flugkörper
 
SARH
halbaktiver Radarzielanflug
 
SAS
Scadinavian Airlines System
1946 durch Zusammenschluß daänischer, norwegischer und schwedischer Luftfverkehrsgesellschaften gegründet.
 
 
Samenleiter
Die Kanäle, durch die bei der Ejakulation die Samenzellen von den Hoden in den Penis transportiert werden.
 
Samenzellen
Die männlichen Keimzellen. Sie enthaltne die Erbinformationen des Vaters. Sie werden im Hoden gebildet. Während des Orgasmus werden Millionen von Samenzellen ausgestoßen. Zu einer Befruchtung kommt es, wenn sich eine Samenzelle mit der weiblichen Eizelle vereinigt. Gelingt es dieser befruchteten Eizelle, sich in der Gebärmutter der Frau einzunisten, beginnt die Schwangerschaft.
 
Schallgeschwindigkeit
Schallgeschwindigkeiten
Stoff v in m/s
Aluminium 5.100
Glas 4.000 ... 5.000
Gummi 40
Luft bei 0 °C 343
Luft bei 20 °C 349
Wasser bei 4 °C 1.400
Richtwerte für 20 °C, für Gase bei Normaldruck: 760 Torr
Ausbreitungsgeschwindigkeit (a) des Schalls in festen Körpern, Flüssigkeiten, und Gasen.
Die Schallgeschwindigkeit der Luft stellt einen wichtigen Bezugswert der Aerodynamik dar. Sie ist anhängig von der Temperatur und somit von der Flughöhe und den klimatischen Bedingungen.
Standardwerte der Schallgeschwindigkeit sind in der Internationalen Normatmosphäre zu finden.
Am Boden in Luft wird oft mit einem Durchschnittswert von 341 m/s etwa 1 228 Km/h gerechnet.
Diese Geschwindigkeit entspricht der Machzahl M=1
[mehr...]
 
Schiebehülse
Metallhülse mit Schlitz, in der passgenau eine andere Hülse hin- und herbewegt werden kann.
 
Schleudersitz
auch: Katapultsitz. Hauptteil moderner Rettungseinrichtungen vorwiegend in Kampfflugzeugenin. Gewährleistet das Verlassen des Flugzeugs im Notfall bei hohen, aber auch sehr geringen Geschwindigkeiten, z.B. Start und Landung. Um 1960 gelangen die ersten Rettungen vom 0,0 - also aus dem Stand des Flugzeuges.
Martin-Baker US16E-JSF

Zwesda KD-36DM
Dabei wird der Sitz nach Auslösen des Systems durch den Flugzeugführer bzw. das Besatzungsmitglied automatisch mit Hilfe einer Treibladung (Katapultierkanone) aus dem Flugzeug geschleudert, eventuell durch einen zweiten Treibsatz (Beschleunigertriebwerk) weiter vom Flugzeug entfernt und beim Katapultieren in Bodennähe auf Sicherheitshöhe gebracht. Danach werden der Nutzer automatisch vom Sitz getrennt und sein Schirm geöffnet, so daß er sicher landen kann. Zum Notpaket, das sich mit im Sitz. befindet, können z.B. auch ein Schlauchboot, Angelgerät oder anderes zum Überleben am gegebenen Absprungort erforderliches Gerät gehören. Neben den genannten Teilen besteht ein moderner Schleudersitz aus mehreren komplizierten Systemen, wie Auslösesystem (gewährleistet die automatische Funktion aller Teile des Sitzes nach einem festgelegten Programm, das je nach Flughöhe und -geschwindigkeit variiert werden kann); Haltesystem (zieht den Nutzer während des Katapultierens fest an den Sitz, um Rückgrat oder andere Verletzungen zu vermeiden); Lösesystem (löst den Nutzer in der zweiten Phase des Katapultiervorgangs vom Sitz); Schirmsystem des Sitzes (sichert die richtige Lage des Sitzes im Luftstrom nach Verlassen der Kabine sowie seine Bremsung bis auf die für das Öffnen des Rettungsschirms günstige Geschwindigkeit und Flughöhe); Gurtsystem des Rettungsschirms (verbindet den Nutzer mit dem Schirm, so daß er nach dessen Öffnung sicher zur Erde gleitet).Skizze
 
Schmelzpunkt
Als Schmelztemperatur bezeichnet man die Temperatur, bei der ein Stoff schmilzt, das heißt vom festen in den flüssigen Aggregatzustand übergeht. [mehr...]
 
Schneider-Pokal
 
Schub
Bezeichnung für die von einer Antriebsanlage erzeugte Kraft zur Überwindung von Bewegungswiderständen.
vergl.: Schub
 
Schwerpunkt
Die Stelle des Flugkörpers, an der die Resultierende aller am Körper und seinen Einzelteilen wirkenden Schwerkräfte angreift.
Nach dem Schwerpunktsatz bewegt sich der Schwerpunkt des Flugkörpers, an dem äußere Kräfte wirken (Schwerkraft, Luft- und Schubkräfte), wie ein Massepunkt, in dem man sich die Gesamtmasse des Flugkörpers vereinigt denken kann. Der Schwerkunkt wird in der Flugmechanik als Ursprung (Mittelpunkt) verschiedener Koordinatensysteme verwendet.
Wichtig für die Stabilität und Steuerbarkeit eines Flugkörpers sind die Schwerpunktlage sowie die Schwerpunktwanderung. Kräfte am Flugzeug
 
Schwerpunktlage
Lage des Schwerpunkts in bezug auf die konstruktiv festgelegten Achsen des Flugzeugs. Von Schwerpunkthoch- und -tieflage spricht man, wenn der Schwerpunkt in der vertikalen Symmetrieebene über bzw. unter der Längsachse des Flugkörpers liegt.
Die Begriffe Schwerpunktvor- und Schwerpunktrücklage besagen, daß er in der vertikalen Symmetrieebene vor bzw. hinter der Querachse liegt.
Eine Schwerpunktseitenlage ist meist nicht vorhanden, kann aber bei einseitigem Verlust von Außenanhängungen oder ungleichmäßigem Kraftstoffverbrauch aus Tragflügelbehältern ebenfalls beidseitig auftreten und hat ein Schieben des Flugkörpers bzw. Flugzeugs zur Folge.Schwerpunktwanderung
 
Schwerpunktrechner
In Luftfahrzeugen spezieller, für den jeweiligen Luftfahrzeug-Typ entwickelter Rechener zur Ermittlung der Schwerpunktlage. In modernen Großflugzeugen erfolgt die Errechnung der Schwerpunktlage automatisch im zentralen Bordrechner nach den Signalen der in den Fahrwerken befindlichen Geber. Meist wird die Schwerpunktlage in der Balance-Chart ermittelt.
 
Schwerpunktrücklage
Lage des Schwerpunkts auf der Längsachse des Flugkörpers in bezug auf die senkrechte Projektion der Vorderkante der mittleren aerodynamischen Sehne; als Rücklage bezeichnet, da der Schwerpunkt gewöhnlich hinter der Projektion der Vorderkante liegt. Der Wert der Schwerpunktrücklage kann absolut ( in m) oder relativ (in Bruchteilen oder Prozent der Tiefe der MAS) angegeben werden. Schwerpunktlage, Schwerpunktwanderung Mittlere aerodynamische Sehne(MAS)
 
Schwerpunktwanderung
Veränderung der Schwerpunktrücklage eines Flugzeugs (Flugkörpers) während des Flugs durch Verbrauch von Kraftstoff oder Abwurf von Lasten.
Die Schwerpunktwanderung muß in bestimmten Grenzen gehalten werden, um eine notwendige Stabilitätsreserve zu gewährleisten. Dies erfordert, genau die Reihenfolge der Kraftstoffentnahme aus den verschiedenen Behältern des Flugzeugs festzulegen, die Abwurflasten gleichmäßig um die normale Schwerpunktrücklage exakt zu verteilen und sie in festgelegter Reihenfolge abzuwerfen.
 
Schwingung
Jeder von der Zeit stetig abhängige physikalische Vorgang x = f(t), der sich mehr oder weniger vollständig in bestimmten gleichbleibenden oder sich zeitlich ändernden Zeitabständen wiederholt.
Ist diese Wiederholung des Vorganges vollständig, so ist die Schwingung ungedämpft. Ist sie unvollständig und so beschaffen, daß de Maximalwert xmax von f(t) mit der Zeit abnimmt, so ist die Schwingung gedämpft. [mehr...]
 
Scramjet
Bezeichnung für Staustrahltriebwerke mit Überschallverbrennung.
 
Seefliegerkräfte
Fliegergattung der Luft- oder Seestreitkräfte, die besonders auf hoher See gegen Über- und Unterwasserschiffe und Küstenobjekte operieren. Berijew Be-12 der russischen Nordmeerflotte Sie führen die Luftaufklärung durch und leiten eigene Kräfte an den Gegner heran. Mit Bordwaffen, Bomben und Raketen greifen sie Schiffe, Häfen und Küstenbefestigungen an, unterstützen Landungsoperationen, legen Minensperren, führen die U-Boot-Jagd durch, decken die eigenen Seestreitkräfte. Zum Einsatz kommen alle Arten von Flugzeugen und Hubschraubern zum Teil in Sonderversionen oder als selbstständige Entwicklung.
 
Sexualhormone
vergl.: Sexualhormone
 
SI
SI-Basiseinheiten
GrößeName Zeichen
Länge Meterm
Masse Kilogrammkg
Zeit Sekundes
elektrische Stromstärke AmpereA
thermodynamische TemperaturKelvinK
Stoffmenge Molmol
Lichtstärke Candelacd
Standdard International
Internationales Einheitensystem
Internationale Festlegung physikalischer Einheiten und deren Bezugs-/Berechnungs-Basis. Das Internationale Einheitensystem wurde 1960 von der 11. Generalkonferenz für Maß und Gewicht (CGPM) geschaffen. Sein Kurzzeichen in allen Sprachen ist SI, abgeleitet aus der französichen Benennung Le Système International d'Unités. Das SI ist die heutige Form des metrischen Systems, wie es in der ganzen Welt verwendet wird. Das IS ist eine der Grundvoraussetzungen füe eine Internationalisierung der Weltwirtschaft. Bis zu diesem Zeitpunkt galt in jedem Staat ein eigener nationaler Standard.
Im Jahre 2000 waren es 3 Staaten, in denen das SI keine Gesetzeskraft hatte; allen voran die USA.
 
Sicht
durch atmosphärische Verhältnisse bedingtes Vermögen, am Tage unbeleuchtete und in der Nacht beleuchtete auffällige Gegenstände zu sehen und zu erkennen.
Die erforderliche Sicht bezieht sich auf die Sichthilfen im Anflugsektor, die lange genug in Sicht seien müssen, damit der Pilot die Lage des Luftfahrzeuges und deren Veränderung in bezug auf die vorgegebene Flugbahn einschätzen kann.
Die Landebahnsichtweite ist die größte Entfernung in Start- oder Landerichtung, in der die Start- und Landbahn oder die sie begrenzenden Feuer bzw. Markierungen von einem Standort über einen bestimmten Punkt auf ihrer Mittellinie gesehen werden können, und zwar aus einer der durchschnittlichen Augenhöhe des Piloten beim Aufsetzen entsprechenden Höhe.
Die meteorologische Sicht bzw. Horizontalsicht ist die maximale Entfernung, in der ein Beobachter ein Objekt(Sichtmarke) identifizieren kann, das sich in der gleichen horizontalen Ebene wie er selbst befindet.
Die Vertikalsicht ist eine Angabe über die Sichtweite im sichtbehindernden Medium(Nebel).
 
Sichtflugregeln
Visual Flight Rules VFR
Regeln für Flüge, bei denen unter staalich festgelegten Bedingungen bei Sichtverhältnissen geflogen werden kann.
Sichtflugregeln legen fest:
  1. die Flugsicht (am Boden);
  2. den wagerechten Abstand zu den Wolken;
  3. den senkrechten Abstand zu den Wolken und
  4. den Wolkenbedeckungsgrad
Sichtflugregeln sind Mindestanforderungen. Sie sind festgelegt für:
  1. kontrollierte Lufträume oberhalb 300 m über Grund und in oder unterhalb 300 m;
  2. unkontrillierte Lufträume in oder unterhalb 300 m über Grund
  3. für Start und Landung auf einem Flugplatz
Bei Flügen nach Sichtflugregeln sind die Flugzeugführer verantwortlich für das Einhalten der Sicherheitsabstände und Zwischenräume zu anderen Luftfahrzeugen bzw. Hindernissen.
 
Sigint
Als Signals Intelligence (SIGINT) wird die Gewinnung von Informationen, üblicherweise aus abgehörten Funksignalen (COMINT (Communication Intelligence)) und der Erfassung und Analyse anderer elektronischer Signale (ELINT (Electronic Intelligence)), bezeichnet.
 
SLAR
Seitensichtradar
 
SPECIAL REPORT
Flugwettermeldung in abgekürztem Klartext, die beim Auftreten spezieller Wetterbedingungen herausgegeben wird.
 
Spektroskopie
Spektroskopie, Spektrometrie, die Wissenschaft von der Wechselwirkung zwischen Substanz und monochromatischer elektromagnetischer Strahlung. [mehr...]
 
Spektrum
Lineare Anordnung sämtlicher vorkommenden Frequenzen einer Gesamtheit von gleichartigen Wellen in einem gegebenen Medium und einer gegebenen Ausbreitungsgeschwindigkeit.
 
SPS
kurze Piste
 
SRAAM
(Short Range Air-to-Air Missle) Kurzstrecken Luft-Luft-Rakete
 
SRY
Sex-determining Region of the Y-Chromosome, dt. geschlechtsbestimmender Teil auf dem Y-Chromosom. Gen, das die Entwicklung von Testosteron in den Hoden aktiviert.
 
Stabilität
1. vereinfacht für Flugstabilität; Fähigkeit eines Flugkörpers zur selbständigen Beseitigung von äußeren Störungen seines gegebenen Flugzustands, was ein stabiles Gleichgewicht der am Flugkörper wirkenden äußeren Kräfte und Momente bedingt.
Um Stabilitätsuntersuchungen zu vereinfachen, unterscheidet man Statische Stabilität ist vorhanden, wenn nach einer Störung der Lage des Flugkörpers rückdrehende Momente auftreten.
Dynamische Stabilität erfordert die aperiodische oder periodisch schwingende Rückkehr des Flugkörpers in die stabile Ausgangslage vor der Störung. Sie setzt statische Stabilität voraus.
Längsstabilität. wird durch die am Tragflügel und am Höhenleitwerk wirkenden Kräfte gewährleistet. Statische Längsstabillität. ist dann gegeben, wenn der Neutralpunkt auf der Längsachse hinter dem Schwerpunkt liegt.
Die Seitenstabilität. hängt von Form und Lage des Seitenleitwerks, von V-Form und Pfeilung des Tragflügels und anderen Faktoren ab. Die Stabilität ist stets an Flughöhe und -geschwindigkeit gebunden und begrenzt in vielen Fällen den für ein Flugzeug nutzbaren Höhen- und Geschwindigkeitsbereich.
2. Widerstand einer Konstruktion gegen Deformation.
 
Staudruck
Tei des Gesamtdrucks eines anströmenden Mediums, der den Anteil der kinetischen Energie an der Gesamtenergie des Mediums charakterisiert. Staudruck und statischer Druck summieren sich zum Gesamtdruck.
Der Staudruck wächst mit dem Quadrat der Geschwindigkeit. Bernoullische Gleichung Mit Hilfe des Staudrucks kann die Geschwindigkeit gegenüber dem Fluid ermittelt werden. [ mehr...]
 
Standarddruck
Abk. STD: nach den Festlegungen der Internationalen Normalatmosphäre für Meereshöhe angenommener Luftdruck von 760 Torr (mmHg) oder 1 013,2 mbar. Oberhalb der Übergangshöhe wird der barometrische Höhenmessers eines Luftfahrzeuges auf den Standarddruck (als Bezugswert) eingestellt, so daß dieser Höhenmesser die Flugfäche anzeigt, in der das Luftfahrzeug fliegt.
 
Start
Abflug Anfangsphase des Fluges, bei dem ein Luftfahrzeug, das seine Bewegung vom Erdboden (Schiff) aus beginnt, auf die zum Fliegen erforderliche Mindestgeschwindigkeit beschleunigt wird und gleichzeitig eine gewisse Sicherheitshöhe einnimmt.
In Abhängigkeit von der konstruktiven Auslegung und der Triebwerksleistung kann der Startvorgang unterschiedlich verlaufen, vom Normalstart bis zum Senkrechtstart.
Beim Normalstart läßt sich die Startstrecke in folgende Abschnitte unterteilen:
  1. Anrollstrecke, sie dient dazu das Luftfahrzeug am Boden bis auf die Abhebegeschwindigkeit (Abheben) zu beschleunigen;
  2. Schwebestrecke, während derer das Luftfahrzeug dicht über der Erde schwebend bis auf die zum Steigen erforderliche Sicherheitsgeschwindigkeit beschleunigt wird, um um die Gefahr des Überziehens beim Übergang zum Steigen zu verringern;
  3. Steigstrecke bis zum Erreichen der Sicherheitshöhe.
Mehrmotorige Luftfahrzeuge müssen auch bei Ausfall einer Anzahl von Triebwerken in der Lage sein, Sicherheitsgeschwindiggeit und -höhe zu erreichen, um einen anschließenden gefahrlosen Übergang zur Landung zu ermöglichen.(VTOL)
Startvorgeng
 
Startschub
Schub einer Flugzeugantriebsanlage bei maximaler innerer Leistung im Stand.
Aus Gründen der Betriebssicherheit und zur Erhaltung der Lebensdauer der Triebwerke nur für eine begrenzte Zeit benutzt werden. Bei KTW ist der Startschub durch den maximalen Ladedruck und die Drehzahl, bei Turbinentriebwerken duch die maximale Abgastemperatur und die Drehzahl begrenzt. Der Startschub beträgt etwa das 3fache des Reiseschubs.
 
Start- und Landebahn
SLB: (engl.: Runway Abk: RWY) Teil der Flügbetriebsfläche eines Flugplatzes, die für Starts und Landungen hergerichtet ist
 
Startmasse
siehe Abflugmasse
 
Startstrecke
Strecke vom Anrollen bis zum Erreichen einer bestimmten Flughöhe (wenn nicht anders angegeben: 15 m Flughöhe). Die Strecke vom Anrollpunkt bis zum Abhebepunkt nennt man Startrollstrecke.
 
Stauverdichtung
Verdichtung der dem Flugzeugtriebwerk mit Fluggeschwindigkeit zuströmenden Luft durch teilweises Abbremsen. Stauverdichtung spielt bei Luftstrahltriebwerken eine wesentliche Rolle. Bedeutung der Stauverdichtung wächst progressiv mit der Fluggeschwindigkeit. Das Staudruckverhältnis ist das Verhältnis des Drucks in der vollständig abgebremsten Strömung zum Druck in der ungestörten Strömung. Staudruckverhältnis beträgt in 11 km Höhe bei M = 0,9 1,646 und in 18km Höhe bei M = 2,2 8,6. Durch die Stauverdichtung verbessert sich der Wirkungsgrad der Luftstrahltriebwerke und PTL.
 
Steuerung
Gesamtheit der für die Steuerbarkeit notwendigen Teile eines Flugkörpers. Dazu gehören sowohl das Steuerwerk mit allen Hilfsmechanismen als auch die Steuerorgane sowie Flugregler oder Autopilot.
 
Stiel
Flügelstiel; Verbindung des unteren und oberen Tragflügels von Doppeldeckern um die Festigkeit der Konstruktion zu erhöhen. Der Stiel kann aus einer oder mehreren senkrechten oder schrägen Streben in unterschiedlicher Anordnung in Flugrichtung bestehen. Je nach Anzahl der an einer Flügelhälfte nebeneinander liegenden Stielen spricht man von 1-, 2-, und 3-stieligen Doppeldeckern.
 
Stirnfläche
Die Stirnfläche ist in der Aerodynamik die projizierte Fläche, die der Schatten eines Körpers z. B. eines Flugzeuges in Längsrichtung wirft. Sie ist die Bezugsfläche bei der Berechnung des Strömungswiderstands und anderer aerodynamischer Kräfte und Momente.
Früher wurde die Stirnfläche ermittelt, indem man den Schatten des Körpers mit einer sehr weit entfernten Lampe auf einen durchsichtigen Schirm projizierte. Heute wird die Stirnfläche mit Laserlicht abgetastet.
 
Stokes
Stokes (St) ist im CGS-Einheitensystem der Name der Einheit cm²/s der kinematischen Viskosität; sie ist benannt nach dem englischen Mathematiker und Physiker George Gabriel Stokes. Im Geschäftsverkehr ist (gesetzlich) in Deutschland seit 1978 die SI-Einheit m²/s vorgeschrieben. In der Praxis ist die Angabe in cSt (Zentistokes) üblich.
\mathrm{1\, St = 1\,\frac{cm^2}{s} = 10^{-4}\,\frac{m^2}{s} }
Umrechnung:
\mathrm{1\, cSt = 1\,\frac{mm^2}{s} = 10^{-6}\,\frac{m^2}{s} }
Das Stokes wurde in Österreich unter dem Namen Stok durch Bundesgesetz vom 5. Juli 1950 zum gesetzlichen Maß erklärt; 1973 wurde der Name in Stokes geändert. Der Einheitenname Stok wurde auch in der deutschen Norm DIN 1342 "Zähigkeit" vom August 1936 empfohlen.
 
STOL
Kurzstart oder -landung
 
Strahlendosis
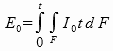
Die in einem Massenelement eines Körpers absorbierte Energie, bezogen auf die Masseneinheit. Wenn nach R. Jaeger 1959 während der Zeit t auf eine Fläche F die Strahlungsenergie E0 mit der Intensität I0 senkrecht auffällt, dann gilt
bzw. E0 = IO F t , falls die Intensität zeitlich und örtlich konstant ist.
Wenn F ein Teil der Oberfläche eines Körpers ist, der die Dichte ρ und — bei ionisierender Strahlung — den Massenschwächungskoeffizienten μ/ρ, dann ist die im Abstand γ von der Fläche F in dem Körperelement dm = ρ F d r absorbierte Energie
.
 
Strahlung
Strahlung, ein sich in den Raum ausbreitender Vorgang, der mit dem Transport von Energie oder Materie verbunden ist. Unter Strahlung versteht man auch diese Energie oder Materie selbst. [mehr...]
 
Strip
Kontrollstreifen, der die wichtigsten Angaben (Identifikation, Kurs, Flughöhe usw.) über die Flugzeuge enthält, die sich dem Kontrollsektor eines Flugverkehrsleiters nähern.
 
Strömung
Als Strömung nach Bernoulli und Venturi bezeichnet man von Giovanni Battista Venturi und Daniel Bernoulli im 18. Jahrhundert entwickelte Theorien über die Strömungsmechanik, die aufeinander aufbauen und die Grundlage für wichtige aero- und hydrodynamische Berechnungen darstellen.
 
Strömungslehre
Theorie von der Bewegung der Flüssigkeiten und Gase und den Wechselwirkungen zwichen dem strömenden Medium und den festen Körpern. Man unterscheidet die Hydrodynamik und die Gasdynmik, in denen die gleichen Grundgesetze in unterschiedlichen Formen auftreten, wobei die Grenzen zwischen beiden Bereichen durch den Einfluss der Kompressibilität des Mediums auf die Erscheinungen bestimmt wird.
Die Strömungslehre untersucht sowohl freie Strömungen (z.B. in der Atmosphäre) als auch geleitete Strömungen (z.B. in Kanälen und Rohren).
Im Flugwesen spielen die Aerodynamik und die Hydraulik als Teilgebiete der Strömungslehre eine große Rolle.
 
Stromfaden
Der Stromfaden ist eine Modellvorstellung in der Strömungslehre.
Ein Stromfaden wird definiert als das Fluid innerhalb einer imaginären, dünnen Röhre, deren Mantelfläche von Stromlinien gebildet wird. Das bedeutet, dass keine Strömung durch die Mantelfläche eines Stromfadens treten kann, da eine Strömung immer tangential zu den Stromlinien verläuft.
Über dem Querschnitt des Stromfadens sind die Dichte, der Druck, die Geschwindigkeit und die Temperatur konstant. Diese Größen können sich allerdings längs des Stromfadens ändern.

Bei der Stromfadentheorie wird die Gesamtströmung eines Systems durch die Strömung in einem Stromfaden betrachtet.
 
SUA
Special Use Airspace - Flugbeschränkungsgebiet
 
Subsonic
Unterschallgeschwindigkeit (M < 0,8)
 
Supercruise
Als Supercruise bezeichnet man die Fähigkeit eines Flugzeugs, ohne Nachbrenner dauerhaft schneller als der Schall fliegen zu können.
 
Supersonic
Überschallgeschwindigkeit (M > 1,3)
 
Top
 
Trenner

T

Tau-Zeit
Kriterium der Gefahrensituation für Luftfahrzeugzusammenstösse, das für Kollisions-Warngeräte benutzt wird.
Als Tau-Zeit wird der Quotient aus Abstand und Relativgeschwindigkeit der beiden Kollisionspartnern bezeichnet. mit dieser Festlegung ist die Tau-Zeit die Zeit bis zum Erreichen des Minimalabstandes zwischen den Kollisionspartnern.
 
Technisches Maßsystem
Das Technische Maßsystem ist ein veraltetes Einheitensystem. Es ist ähnlich aufgebaut wie das MKS-System, die Basisgröße Masse mit der Einheit Kilogramm ist jedoch durch die Basisgröße Kraft mit der Einheit Kilopond (Kraftkilogramm) ersetzt. Die Masse wurde damit zur abgeleiteten Größe mit der Einheit Hyl. Man spricht daher auch vom mkps-System.
 
Testosteron
männliches Sexualhormon, wird hauptsächlich in den Leydig-Zellen der Hoden geblde; kleinere Mengen entstehen auch in den Nebennierenrinden und den Eierstöcken. Durch das Enzym 5-alpha-Reduktase wird Testosteron in Dihydrosteron verwandelt.... mehr
 
Testosteronbiosynthese
der Aufbau von Testosteron im Körper.
 
Thermodynamik
Die Thermodynamik (von altgriechisch θερμός thermós „warm“ sowie δύναμις dýnamis „Kraft“), auch als Wärmelehre bezeichnet, ist ein Teilgebiet der klassischen Physik. Sie beschäftigt sich mit der Möglichkeit, durch Umverteilen von Energie zwischen ihren verschiedenen Erscheinungsformen Arbeit zu verrichten. Die Grundlagen der Thermodynamik wurden aus dem Studium der Volumen-, Druck-, Temperaturverhältnisse bei Dampfmaschinen entwickelt.
Kurze Zusammenfassung der Hauptsätze [mehr...
vergl.: Entropie; Idesles Gas
]
 
TFR
Geländefolge-Radar
 
Toxizität
toxixtoxixDie Toxizität (von altgriechisch τοξικότητα, aus toxikón (phármakon) - Pfeil(gift) aus toxa - Pfeil und Bogen) bedeutet die Giftigkeit.
Die Lehre von Giftstoffen, den Vergiftungen sowie deren Behandlung nennt sich Toxikologie. [mehr...]
 
Träger
Tragende Elemente im Festigkeitsverband des Rumpfes; in Tragflügeln und Leitwerken als Holme bezeichnet. Träger bestehen aus kräftigen Gurten und dazwischen angeordneten schubsteifen Elementen — fachwerkartig eingesetzte Streben oder dünne Bleche (Steg) — und haben je nach Bauweise einen entsprechenden Teil von Querkraft, Biege- und Torsionsmoment zu ertragen.
modernen Rümpfen, die über eine schubsteife Behäutung verfügen, sind häufig nur die Gurte vorhanden, während die Rumpfbehäutung die Funktion des Steges übernimmt.
 
Trägheitshauptachsen
Achsen des Flugkörpers, um die seine Masse jeweils gleichmäßig verteilt ist. Die freie Drehung des Flugkörpers im Flug erfolgt stets um die Trägheitshauptachsen. Für Raketen und auch für Flugzeuge nimmt man oft vereinfachend an, daß die Trägheitshauptachsen annähernd mit den konstruktiven Achsen des Flugkörpers zusammenfallen, wodurch Stabilitäts- und Steuerbarkeitsuntersuchungen wesentlich vereinfacht werden.
 
Tragschraube
 
Tragschraubenkonzept
 
Translation
Eine Translation (auch reine Translation) ist eine Bewegung, bei der alle Punkte eines physikalischen Systems, z. B. eines starren Körpers, dieselbe Verschiebung erfahren. Zu einem gegebenen Zeitpunkt sind Geschwindigkeiten und Beschleunigungen aller Punkte identisch. Sie bewegen sich auf parallelen Trajektorien. Davon zu unterscheiden ist die Rotation, bei der sich alle Punkte des Systems oder Körpers kreisförmig um eine gemeinsame Achse bewegen. Jede beliebige Bewegung eines starren Körpers kann durch eine Überlagerung von Translations- und Rotationsbewegungen dargestellt werden.
 
Verladung von Bw-Fahrzeugen in eine An-124
Transportflugzeug
Spezialflugzeug zum Transport von Fracht aller Art. Diese Flugzeuge werden speziell entwickelt oder entstehen durch Umbau nichtmehr benötigter Passagiermaschinen. Sie verfügen über verstärkte Böden sowie spezielle Lade- und Befestigungseinrichtungen. Im mindesten verfügen sie über vergrößerte seitliche Beladeluken.
Die Mehrzahl der weltweit eingesetzten Transportflugzeuge sind auf Forderung des Militärs entstanden. Diese verfügen in aller Regel über zumindest große Heckklappen zum Be- und Entladen, die sich auch im Flug öffnen lassen.
 
Triebwerk
Allgemeine Bezeichnung für die Antriebsmaschine eines Luftfahrzeuges.
Die Aufgabe der Antriebsanlage eines Luftfahrzeugs mit statischem oder aerodynamischem Auftrieb besteht in der Erzeugung einer Vortriebskraft (Schub) zum Beschleunigen des Fahrzeugs im Start und zur Überwindung des Luft-, Beschleunigungs- und Steigungswiderstands im Flug. Bei Hubschraubern und Senkrechtstartern wird ein Teil der Leistung der Antriebs-Anlage zur Erzeugung einer Hubkraft verwendet. Kolbenmotor ; Turbine
 
Triebwerksleistung
Bei Flugzeugantriebsanlagen Unterscheidung zwischen innerer Leistung und äußerer Leistung. [mehr...]
 
Trivialname
Trivialnamen sind Bezeichnungen für Dinge, die nicht der offiziellen Systematik entsprechen, wie sie in dem zugeordneten wissenschaftlichen Fachgebiet existieren. Beispiele für Fachgebiete sind: Chemie, Biologie, Medizin und Pharmazie, aber auch Bereiche bzw. Schwerpunkte vorgenannter wissenschaftlicher Fachgebiete wie deren technische Zweige. Trivialnamen sind mitunter die bekannteren Namen, da sie aus Begriffen der Alltagssprache gebildet werden, und so einfacher zu verwenden sind. [mehr...]
 
Trudeln
(engl. spin, franz. vrille, auch in der deutschsprachigen Schweiz Vrille) ist ein Flugzustand, bei dem sich das Flugobjekt nach einem einseitigen Strömungsabriss an einer Tragfläche in einer steilen Spirale respektive Schraubenlinie um die vertikale Achse Richtung Boden bewegt. Das Trudeln ist eine Bewegung, die durch ungleichförmige Drehungen des Flugzeuges auf einer Spirale kleinen Radiuses mit überkritischem Anstellwinkel charakterisiert ist.
[verg.: Kampf dem Trudeln]
Top
 
Trenner
Hinweis zu Gesundheitsthemen
Dieser Artikel behandelt ein Gesundheitsthema. Er dient nicht der Selbstdiagnose und ersetzt nicht eine Diagnose durch einen Arzt. Bitte hierzu den Hinweis zu Gesundheitsthemen beachten!
Hinweis zu Rechtsheitsthemen
Bitte den Hinweis zu Rechtsthemen beachten!

 
Seitenende
Top
Lexikon 1 - 10
Lexikon A - E
Lexikon F - J
Lexikon K - P
Lexikon Q - T
Lexikon U - Z


Lexikon verlassen
Seite zurück